How to Calculate Time Value of Money?
Time value of money is an important concept for those who want to realize the future value of the money that they currently have. This is an extremely useful concept for those who want to invest and grow their financial corpus.
Table of Contents
- What is time value of money?
- Importance of TVM
- Time Value of Money Calculator
- Applications
- Who should learn it?
What is Time Value of Money?
Time value of money indicates that present value of x amount of money is more than its value in future. This means that you can purchase more with the same amount of money today than if you receive in the future. It is the basis of discounted cash flow analysis that allows the accumulation of the expected returns on a sum. This is a fundamental concept of corporate finance that includes both discounting and compounding.
This concept is based on two factors: opportunity cost and inflation.
- Opportunity cost means that current funds in hand can be invested into projects for gaining higher returns.
- As the inflation rate increases, the purchasing power of the same value of money goes down.
Importance of Time Value of Money
The concept of TVM is an extremely important factor when it comes to managing finances or investing your money. It can help you combat the rate of inflation due to the power of compounding. As per compounding, the interest and investment returns will compound in value over time.
Once you understand this concept, you will understand why paying off debts like credit card loans as early as possible is important. The interest on these debts compound in a similar manner making it difficult to completely get out of this vicious circle. Time value of money has three main benefits:
- Ways to combat inflation
- Importance of paying off high-interest debts
- Ways to use the saved money
Now let us understand ways to calculate the time value of money.
Time value of Money Calculator
In this section, we will learn how to calculate time value of money. There are four types of tvm calculations including future value of lump sum, future value of an annuity, the present value of lump sum, and present value of annuity. Let us discuss all these calculations:
1. Future Value of a Lump Sum: This determines the amount of money that the company will have after it makes a single deposit without any future withdrawal or deposits.
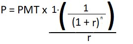
2. Future Value of an Annuity: This helps in determining the amount of money that the company will have in future if a company makes consecutive deposits over a period of time.
P = Future value of annuity stream
PMT = Dollar amount of every annuity payment
r = Interest rate or discount rate
n = Number of periods in which the payments will be made
3. Present Value of a Lump Sum: Businesses can determine the amount of money they should pay for investment if it generates a certain amount of lump sum cash flow in the future.
4. Present Value of An Annuity: It is the current value of future payment from an annuity at a specified return rate or discount rate. The discount rate is inversely proportional to the present value of annuity.
Calculating the Future Value FV of Money with Example
As per the time value of money formula:
Here:
‘FV’ represents the future value of money,
‘PV’ represents the present value of the money,
‘n’ is the number of periods (in years) before you start receiving the money and,
‘i’ represents the annual interest rate
Suppose, you are fixing $5,000 in a fixed deposit at the bank for a period of 5 years. The bank is paying an annual interest of 4% to you. Let us now see the future value of money:
According to the calculation, $6,100 will be the future value of the money in five years.
Applications of Time Value of Money
Following are the applications of the concept of the time value of money:
- Companies use the time value of money for calculating the present value of lump sum or stream of cash flows that they may receive in overtime.
- Through this concept, one can identify the required amount of cash flow for any future investment.
- The concept of the future value of lump sum also helps in calculating the amount of money that the company will have in future.
- It is based on the fact that the company makes only one-time deposits or withdrawals at a given rate of interest and time.
- Through TVM, you will also be able to determine the value of EMI. You will also understand whether repaying the loan in EMIs is beneficial to you or not.
Explore finance courses
Who Needs To Learn This Concept?
Following professionals need to learn this concept:
- Investment analysts: These professionals must learn this concept since they need to determine the worth and profit in an investment. They need to evaluate transactions with the present and future cash flows.
- Capital budgeting experts: These professionals can understand their cash flow. They discount the future cash flows to calculate the present value to determine whether it is beneficial to invest in a project or not.
- Financial risk manager: They identify threats to your assets and their earning capacity for your business. These professionals use the concept to assess if an investment is prone to the risk of failure of returns or not. This concept can help them assess if investing money can bring them positive returns.
Conclusion
Hope this article has helped you in understanding the concept of the time value of money. You can check out online courses on time value of money to understand the details of this concept. As a financial professional, you must understand this concept to assess if an asset is worth investing the money in. This will help you make safer and more profitable business decisions in the long run.
Recently completed any professional course/certification from the market? Tell us what liked or disliked in the course for more curated content.
Click here to submit its review with Shiksha Online.
FAQs
What are the applications of time value of money?
Time value of money has several areas of applications including capital budgeting, bond, and stock valuation, and identifying assets worthy of investment.
How do organizations use the Time Value of Money concept?
Organizations use this concept to compare the in-hand value of money with the future value of money. They use this concept to determine various factors that impact decisions related to business. This includes investment returns, inflation, loan interest, and risk factors.
What factors impact the time value of money?
Inflation, liquidity, and risk are the three main factors that impact the time value of money. Due to these factors, the value of money decreases with time. Inflation reduces the purchasing power of money while liquidity impacts the seller's ability to sell the asset with ease.
What is the present value of the future $200,000 after 10 years if the discount rate is 8 percent?
Present Value(PV)= Future value/ ( 1+8%)^ 10 => 200,000/ (1.08)^ 10 PV=> 200,000/2.158 PV= $92,678



