Probability Density Function: Definition, Properties, and Application

Probability Density Function: Definition, Properties, and Application

3 mins read1.7K Views Comment
CallCall 8585951111Got Doubts?
Updated on Sep 12, 2023 11:35 IST
Probability Density function describes the probability distribution of the continuous random variable. In this article, we will briefly discuss what is probability density function, its properties, its application, and how to calculate it. The blog briefly discusses what the probability density function is, its properties, its application, and how

Probability Density function describes the probability distribution of the continuous random variable. In this article, we will briefly discuss what is probability density function, its properties, its application, and how to calculate it.

2022_12_MicrosoftTeams-image-95-4.jpg

Probability distribution represents all the possible values that a random variable can take, and we know there are two random variables: Discrete and Continuous random variables. The probability density function and probability mass function describes continuous and discrete probability distributions, respectively. This article will briefly discuss the probability density function, its properties, how to calculate it, and its application.

Recommended online courses

Best-suited Machine Learning courses for you

Learn Machine Learning with these high-rated online courses

What is Probability Density Function (PDF)

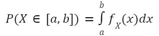
The probability Density Function or PDF describes a probability distribution of a continuous random variable.
The PDF of any continuous random variable X is a function fX: R -> [0, inf) such that,

2022_12_image-33.jpg

for any interval [a, b] in R.

Stay updated with the latest blogs on online courses and skills
Enter Mobile Number

  • It takes the values in a given interval, i.e., is equal to the integral of its PDF over the given interval.
  • The PDF function is like a bell-shaped curve, and the probability of the outcome lies below the curve.
  • Distribution Functions using PDF: Weibull Distribution, Lognormal Distribution, Exponential Distribution, Gamma Distribution, Uniform Distribution, and Beta Distribution.
What is Programming What is Python
What is Data Science What is Machine Learning

Mean, Median, and Variance of PDF

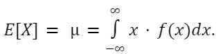
Mean

The mean of the probability distribution function of a continuous random variable is given by:

2022_12_image-34.jpg

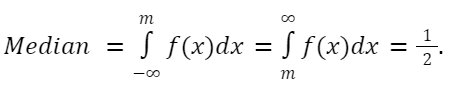
Median

Median divides the PDF curve into two equals halve, let the PDF has a median at x = m, then:

2022_12_image-35.jpg

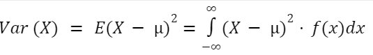
Variance

Variance is the expected value of the squared deviation from the mean.

2022_12_image-36.jpg

Related Read – Probability and Non Probability Sampling

Properties of Probability Density Function

  • It is the differentiation of the cumulative distribution function.
  • The value of PDF is always greater than or equal to zero for all real numbers i.e., f(x) >= 0.
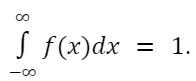
  • Total area under the PDF curve is always equal to one.
2022_12_image-37.jpg
  • PDF curve is always continuous over the entire range.
  • Median divides the PDF curve into two halves.

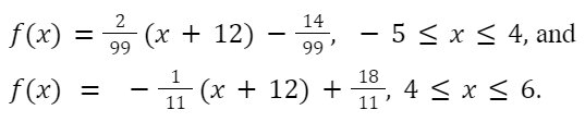
Example – 1: Let X be a continuous random variable with the PDF given by:

2022_12_image-38.jpg

Find the probability between 3 and 5.

Answer:

2022_12_image-39.jpg

Example – 2: Let X be a continuous random variable and the following PDF:

fX(x) = ce-x, x >= 0, otherwise 0

where c is any positive constant.

Answer – 2: As we know the total area under the curve is equal to one (from property – 3), i.e.,

2022_12_image-40.jpg

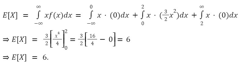
Example – 3: Find the mean of the given PDF.

f(x) = (3/2)x2, 0 <= x< = 2, and 0 otherwise.

Answer – 3:

2022_12_image-41.jpg
Programming Online Courses and Certification Python Online Courses and Certifications
Data Science Online Courses and Certifications Machine Learning Online Courses and Certifications

Joint Probability Distribution Function

The joint probability distribution is nothing but denotes the probability distribution of two or more continuous random variables that together form a continuous random vector.

  • For a joint PDF, both the random variables are jointly continuous.
  • Calculation of joint PDF involves multiple integrals.

Application of Probability Density Function

  • Use to simulate the combustion of a diesel engine.
  • It is used to represent the annual data of atmospheric NOx temporal concentration.
  • It is used in machine learning algorithms, analytics, probability theory, neural networks, etc.

Conclusion

Probability Density function describes the probability distribution of the continuous random variable. In this article, we have briefly discussed what is probability density function, its properties, its application, and how to calculate it.

Hope this article, help you to clear your all doubts regarding Probability Density Function.

Top Trending Article

Top Online Python Compiler | How to Check if a Python String is Palindrome | Feature Selection Technique | Conditional Statement in Python | How to Find Armstrong Number in Python | Data Types in Python | How to Find Second Occurrence of Sub-String in Python String | For Loop in Python |Prime Number | Inheritance in Python | Validating Password using Python Regex | Python List |Market Basket Analysis in Python | Python Dictionary | Python While Loop | Python Split Function | Rock Paper Scissor Game in Python | Python String | How to Generate Random Number in Python | Python Program to Check Leap Year | Slicing in Python

Interview Questions

Data Science Interview Questions | Machine Learning Interview Questions | Statistics Interview Question | Coding Interview Questions | SQL Interview Questions | SQL Query Interview Questions | Data Engineering Interview Questions | Data Structure Interview Questions | Database Interview Questions | Data Modeling Interview Questions | Deep Learning Interview Questions |

About the Author
qna

Comments