Taylor Series Approximation: Definition, Formula, and Example

Taylor Series Approximation: Definition, Formula, and Example

5 mins read736 Views Comment Call 8585951111Call 8585951111Got Doubts?
Updated on Apr 30, 2024 09:11 IST
Let f(x) be a continuous and infinitely differentiable function (i.e., a function that can be differentiated infinite times), then the taylor series of f(x) is a series expansion of f(x) about a point x = a. In this article, we will discuss how to find the approximation of a function using Taylor series.

Let f(x) be a continuous and infinitely differentiable function (i.e., a function that can be differentiated infinite times), then the taylor series of f(x) is a series expansion of f(x) about a point x = a. In this article, we will discuss how to find the approximation of a function using the Taylor series.

2022_12_MicrosoftTeams-image-106-2.jpg

Taylor series is a series expansion of a function around a point that can be utilized to approximate a function. It is an application of derivatives of a function that has a vast application in machine learning and deep learning.
In machine learning, to calculate the gradient descent, we try to minimize the cost function using differentiation. However, not all the functions can be differentiated, so here, we use the Taylor series to approximate the function.
Taylor series expansion is applied in the deep neural network to optimize the performance measure and is one of the most important uses of the Taylor series in deep learning.
In Neural Networks, the Taylor series can be applied to isolate the difficulties like shattered gradients. It can also be used to explain the neural network’s prediction quantitatively.
In this article, we will briefly discuss the Taylor series, its formula, its proof, and some of the common Taylor series expansions.

Table of Content

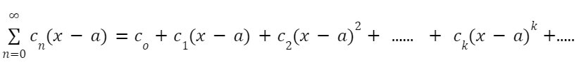
Before starting the taylor series, let’s discuss one important series that we will use to prove the taylor series formula, i.e., Power Series.

Power Series: Power series about the centre x = a is an infinite sum of the form

2022_12_image-140.jpg

where

ci: constant coefficients

What is the Taylor Series?

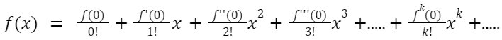
Let f(x) be a continuous and infinitely differentiable function (i.e., a function that can be differentiated infinite times), then the taylor series of f(x) is a series expansion of f(x) about a point x = a.

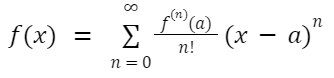
The Taylor series expansion of any function f(x) at x = a is given by:

2022_12_image-141.jpg

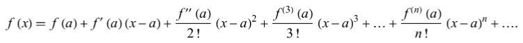
This can also be written as:

2022_12_image-142.jpg

Note: If in the above formula, a = 0, then the above expansion is known as Maclaurin Series.

What is Programming What is Python
What is Data Science What is Machine Learning

Proof of Taylor’s Theorem

Let f(x) be a polynomial function such that:

f(x) = a0 + a1x + a2x2 + a3 x3 + a4x4 +….. + ak xk+……,         ……. (1)

Now substituting x = 0, in (1), we get:

f(0) = a0

=> a0 = f(0)/0! …..(i)

Differentiating f(x), with respect to y, we get:

f’(x) = a1 + 2a2x + 3a3x2 + 4a4x3 + ….,    …….(2)

Substituting x = 0, in (2) we get:

f’(0) = a1

=> a1 = f’(0)/1! …..(ii)

Differnetitaing f’(x), with respect to x we get:

f’’(x) = 2a2 + 6 a3 x + 12a4 x2 + ….,      …..(3)

Substituting x = 0 in equation (3), we get:

f’’(0) = 2a2

=> a2 = f’’(0)/ 2

=> a2 = f’’(0)/ 2!….(iii)

Differentiating f’(y), with respect to y we get:

f’’’(x) = 6a3 + 24a4 x + ….., …………(4)

Substituting x = 0 in equation (4), we get:

f’’’(0) = 6a3

=> a_3 = f’’’(0)/ 6 

=> a3 = f’’’(0)/ 3!…..(iv)

Generalizing, the result of (i), (ii), (iii), and (iv) we get:

an = fn(0) /n!……(v)
Now, substituting the value of (i), (ii), (iii), (iv), and (v) in (1), we get:

2022_12_image-144.jpg

Now, generalizing the above we get:

2022_12_image-145.jpg
Stay updated with the latest blogs on online courses and skills
Enter Mobile Number

Example

Example -1: Find the Taylor series of sin x for x = 0.

Answer: Here, f(x) = sin x, and we know sin x is an infinitely differentiable function that can be represented as:

2022_12_image-146.jpg

Now, differentiating f(x), we get

f(x) = sin x => f(0) = 0

f’(x) = cos x => f’(0) = 1

f’’(x) = -sin x => f’’(0) = 0

f’’’(x) = -cos x => f’’’(0) = -1

f(iv) (x) = sin x => f^(iv)(0) = 0

=> f(iv)(x) = f(x)

So, continuing the differentiation we will get the repetition only

Now, substituting the above values in the Taylor series formula, we get:

2022_12_image-147.jpg

Example – 2: Find the Taylor series expansion of f(x) = 1/x at x = 1.

Answer: here, f(x) = 1 / x, and we know 1/ x is an infinitely differentiable function except x = 0 and the graph of f(x) = 1/x looks like: 

2022_12_image-148.jpg

Now, differentiating f(x), we get

f(x) = 1/x => f(1) = 1/1

f’(x) = -1/x^2 => f’(1) = -1/1=-1

f’’(x) = 2/x^3 => f’’(1) = 2/1^3=2

f’’’(x) = -6/x^4 => f’’’(1) = -6/1^4=-6

Now, substituting the above values in the Taylor series formula, we get:

2022_12_image-149.jpg
Programming Online Courses and Certification Python Online Courses and Certifications
Data Science Online Courses and Certifications Machine Learning Online Courses and Certifications

Now, we will discuss some commonly use Taylor Series Expansions:

Commonly used Taylor Series Expansion

Exponential Function

2022_12_image-150.jpg

Logarithmic Function

2022_12_image-151.jpg

Trigonometric Function

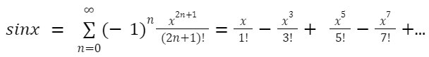
sin(x)

2022_12_image-152.jpg

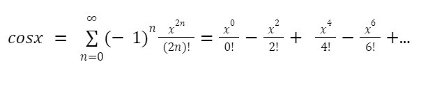
cos(x)

2022_12_image-153.jpg

tan (x)

2022_12_image-154.jpg

Conclusion

In this article, we have briefly discussed Taylor series approximation, the steps to find the approximation of a function and the application of how the Taylor series can be used in machine learning and deep learning.

Hope you will like the article.

Top Trending Article

Top Online Python Compiler | How to Check if a Python String is Palindrome | Feature Selection Technique | Conditional Statement in Python | How to Find Armstrong Number in Python | Data Types in Python | How to Find Second Occurrence of Sub-String in Python String | For Loop in Python |Prime Number | Inheritance in Python | Validating Password using Python Regex | Python List |Market Basket Analysis in Python | Python Dictionary | Python While Loop | Python Split Function | Rock Paper Scissor Game in Python | Python String | How to Generate Random Number in Python | Python Program to Check Leap Year | Slicing in Python

Interview Questions

Data Science Interview Questions | Machine Learning Interview Questions | Statistics Interview Question | Coding Interview Questions | SQL Interview Questions | SQL Query Interview Questions | Data Engineering Interview Questions | Data Structure Interview Questions | Database Interview Questions | Data Modeling Interview Questions | Deep Learning Interview Questions |

About the Author
qna

Comments