The Mean Value Theorem in Data Science: A Comprehensive Guide

The Mean Value Theorem in Data Science: A Comprehensive Guide

4 mins read733 Views Comment Call 8585951111Call 8585951111Got Doubts?
Updated on Sep 15, 2023 17:51 IST
Mean value theorem or Lagrange mean value theorem states that if f(x) is a continuous and differentiable function over an interval (a, b), then there exists at least one c in (a, b) that is equal to function average rate of change over the given interval. This article, will Mean Value Theorem, Rolles Theorem, and Cauchy Mean Value Theorem.

Mean value theorem or Lagrange mean value theorem states that if f(x) is a continuous and differentiable function over an interval (a, b), then there exists at least one c in (a, b) that is equal to function average rate of change over the given interval. This article, will Mean Value Theorem, Rolles Theorem, and Cauchy Mean Value Theorem.

2022_12_MicrosoftTeams-image-99-2.jpg

The Mean Value Theorem is one of the calculus’s most fundamental but most important theorems that can be used to identify the function’s behavior, whether it is increasing, decreasing, or constant at the given interval. This article will discuss the Lagrange Mean Value Theorem, Cauchy Mean Value Theorem, and Roll’s Theorem (a special case of the Lagrange Mean value Theorem).

Recommended online courses

Best-suited Data Science courses for you

Learn Data Science with these high-rated online courses

1.1 L
24 months
3.86 L
4 years
66 K
4 years

What is Mean Value Theorem

The Mean Value Theorem or Lagrange Mean Value Theorem states that:

If a function f(x) is continuous on [a, b] and differentiable on an (a, b)

then there exists a point c in the interval (a, b) such that f’ (c) is equal to the function average rate of change over [a, b], i.e.,

Stay updated with the latest blogs on online courses and skills
Enter Mobile Number
2023_06_mean-value-theorem.jpg

From the above graph, we can easily depict that the tangent at any point c between [a, b] is parallel to the secant line over [a, b].

Now, what if f(a) = f(b), in the above MVT.

Yes, you depicted correctly, i.e., f’ (c) = 0. This is what Rolle’s Theorem is, i.e., Rolle’s Theorem is a special case of the Lagrange Mean Value Theorem.

Rolle’s Theorem

Rolle’s Theorem states that if f(x) is continuous over [a, b], differentiable over (a, b), and f(a) = f(b), then there exists at least one c in (a, b) such that

f’(c) = 0

Proof of Mean Value Theorem:

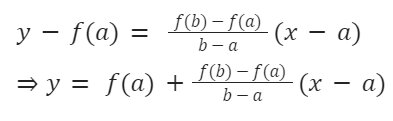
Let a line is passing through two points (a, f(a)), and (b, f(b)), then the equation of the line will be:

2022_12_image-49.jpg

Consider a difference function h(x), that is equal to vertical difference between (x, f(x)) and (x,y) on that line, then

2022_12_image-50.jpg

Corollaries of Mean Value Theorem

  • If f’(x) < 0, for all x in (a,b), then 
    • f is strictly decreasing on (a,b).
  • If f’(x) = 0, for all x in (a,b), then 
    • f is constant on (a,b).
  • If f’(x) > 0, for all x in (a,b), 
    • then f is strictly increasing on (a,b).
  • If f’(x) = g’(x), for all x in (a,b), then 
    • there exists a constant C, such that f(x) = g(x) for all x in (a,b).

Extended Mean Value Theorem

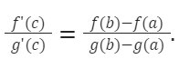
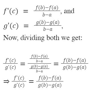
This is also called Cauchy Mean Value Theorem. It states that if f, and g are continuous over [a, b], differentiable over (a, b), and g’ (x) is not equal to zero for any point in (a, b), then there exists at least one point c in (a, b), such that:

2022_12_image-51.jpg

It can be easily derived from the Lagrange Mean Value theorem:

For any continuous and differentiable functions f, and g over (a, b), there exists at least one point c in (a, b) such that:

2022_12_image-52.jpg

Application of Mean Value Theorem

  • Leibnitz Rule
  • L’Hopitals Rule
  • Symmetry of Second Derivative

Top Trending Article

Top Online Python Compiler | How to Check if a Python String is Palindrome | Feature Selection Technique | Conditional Statement in Python | How to Find Armstrong Number in Python | Data Types in Python | How to Find Second Occurrence of Sub-String in Python String | For Loop in Python |Prime Number | Inheritance in Python | Validating Password using Python Regex | Python List |Market Basket Analysis in Python | Python Dictionary | Python While Loop | Python Split Function | Rock Paper Scissor Game in Python | Python String | How to Generate Random Number in Python | Python Program to Check Leap Year | Slicing in Python

Interview Questions

Data Science Interview Questions | Machine Learning Interview Questions | Statistics Interview Question | Coding Interview Questions | SQL Interview Questions | SQL Query Interview Questions | Data Engineering Interview Questions | Data Structure Interview Questions | Database Interview Questions | Data Modeling Interview Questions | Deep Learning Interview Questions |

FAQs

What is Mean Value Theorem?

The Mean Value Theorem or Lagrange Mean Value Theorem states that, if a function f(x) is continuous on [a, b] and differentiable on an (a, b), then there exists a point c in the interval (a, b) such that fu2019 (c) is equal to the function average rate of change over [a, b].

What is Rolles Theorem?

Rolleu2019s Theorem states that if f(x) is continuous over [a, b], differentiable over (a, b), and f(a) = f(b), then there exists at least one c in (a, b) such that fu2019(c) = 0.

What is Extended Mean Value Theorem?

This is also called Cauchy Mean Value Theorem. It states that if f, and g are continuous over [a, b], differentiable over (a, b), and gu2019 (x) is not equal to zero for any point in (a, b), then there exists at least one point c in (a, b), such that, f'(c)/g'(c) = [f(b)-f(a)]/[g(b)-g(a)].

About the Author
qna

Comments