Maths NCERT Exemplar Solutions Class 12th Chapter Three
Get insights from 162 questions on Maths NCERT Exemplar Solutions Class 12th Chapter Three, answered by students, alumni, and experts. You may also ask and answer any question you like about Maths NCERT Exemplar Solutions Class 12th Chapter Three
Follow Ask QuestionQuestions
Discussions
Active Users
Followers
New answer posted
10 months agoContributor-Level 10
This is a long answer type question as classified in NCERT Exemplar
New answer posted
11 months agoContributor-Level 10
This is a Long Answers Type Questions as classified in NCERT Exemplar
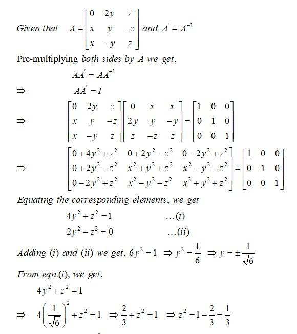
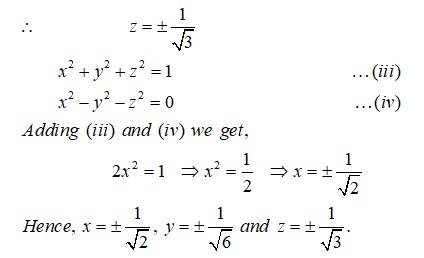
Sol.
New answer posted
11 months agoContributor-Level 10
This is a Long Answers Type Questions as classified in NCERT Exemplar
Sol.


New answer posted
11 months agoContributor-Level 10
This is a Long Answers Type Questions as classified in NCERT Exemplar
Sol.
Taking an Exam? Selecting a College?
Get authentic answers from experts, students and alumni that you won't find anywhere else
Sign Up on ShikshaOn Shiksha, get access to
- 66k Colleges
- 1.2k Exams
- 690k Reviews
- 1850k Answers
