Maths NCERT Exemplar Solutions Class 12th Chapter Eight
Get insights from 74 questions on Maths NCERT Exemplar Solutions Class 12th Chapter Eight, answered by students, alumni, and experts. You may also ask and answer any question you like about Maths NCERT Exemplar Solutions Class 12th Chapter Eight
Follow Ask QuestionQuestions
Discussions
Active Users
Followers
New answer posted
10 months agoContributor-Level 10

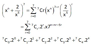
= 939
And r = 4 then
And r should not be 5
possible values of n are 7, 8, 9, 10, 11, 12
Sum of integral value of n = 57
New answer posted
10 months agoContributor-Level 10
Sum of all entries of matrix A must be prime p such that 2 < p < 8 then sum of entries may be 3, 5 or 7
If sum is 3 then possible entries are
(0, 5), (0, 1, 4), (0, 2, 3), (0, 1, 3)
(0, 1, 2, 2) and (1, 2)
Total number of matrices = 4 + 12 + 12 + 12 + 12 + 4 = 56
If sum is 7 then possible entries are
(0, 2, 25), (0, 03, 4), (0, 1, 5), (0, 3, 1), (0, 2, 3), (1, 4), (1, 2, 2), (1, 2, 3) and (0, 1, 2, 4)
Total number of matrices with sum 7 = 104
total number of required matrices
= 20 + 56 = 104
= 108
New answer posted
10 months agoContributor-Level 10
are roots of x2 -
Also are roots of
is common root
…….(i)
And
….(ii)
From (i) – (ii) ; we get
New answer posted
10 months agoContributor-Level 10
Be the vectors along the diagonals of a parallelogram having are 2.
……. (i)
And
From (ii) and (iii)
Taking an Exam? Selecting a College?
Get authentic answers from experts, students and alumni that you won't find anywhere else
Sign Up on ShikshaOn Shiksha, get access to
- 66k Colleges
- 1.2k Exams
- 691k Reviews
- 1850k Answers

