Physics Ncert Solutions Class 12th
Get insights from 1.2k questions on Physics Ncert Solutions Class 12th, answered by students, alumni, and experts. You may also ask and answer any question you like about Physics Ncert Solutions Class 12th
Follow Ask QuestionQuestions
Discussions
Active Users
Followers
New answer posted
7 months agoContributor-Level 10
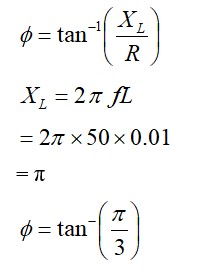
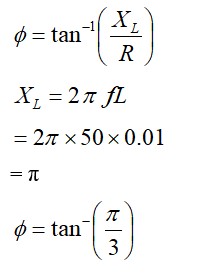
The angle between the plane of vibration and plane of polarization is 90°.
Taking an Exam? Selecting a College?
Get authentic answers from experts, students and alumni that you won't find anywhere else
Sign Up on ShikshaOn Shiksha, get access to
- 66k Colleges
- 1.2k Exams
- 690k Reviews
- 1850k Answers











