Continuity and Differentiability
Get insights from 80 questions on Continuity and Differentiability, answered by students, alumni, and experts. You may also ask and answer any question you like about Continuity and Differentiability
Follow Ask QuestionQuestions
Discussions
Active Users
Followers
New question posted
11 months agoNew answer posted
11 months agoContributor-Level 10
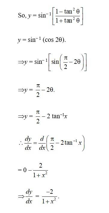
51. Given, sin2x + cos2y = 1.
Differentiating w r t 'x' we get,
(sin2x + cos2y)
= 2sin x cos x + 2 cos y (- sin y)
= sin 2x- sin 2y = 0
New answer posted
11 months agoContributor-Level 10
50. Given, sin2y + cos xy = p
Differentiating w r t 'x' we get,
=
{Qsin 2x = 2sin x cos x}
New answer posted
11 months agoContributor-Level 10
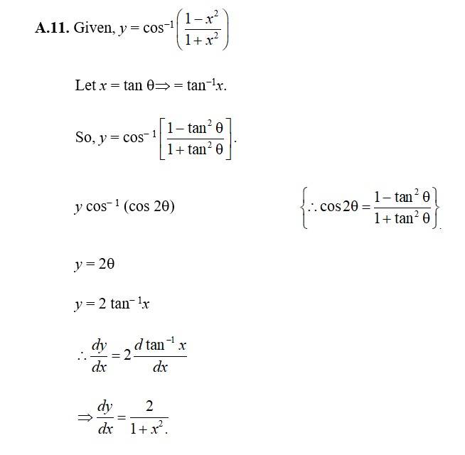
49. Given, x3 + x2y + xy2 + y3 = 81.
Differentiating w r t 'x' we get,
=
= - (3x2 + 2xy + y2)
New answer posted
11 months agoContributor-Level 10
48. Given, x2 + xy + y2 = 100.
Differentiating w r t 'x' we get,
New answer posted
11 months agoContributor-Level 10
47. Given, xy + y2 = tan x + y Differentiating w r t x we get,
Taking an Exam? Selecting a College?
Get authentic answers from experts, students and alumni that you won't find anywhere else
Sign Up on ShikshaOn Shiksha, get access to
- 66k Colleges
- 1.2k Exams
- 690k Reviews
- 1850k Answers






