Continuity and Differentiability
Get insights from 80 questions on Continuity and Differentiability, answered by students, alumni, and experts. You may also ask and answer any question you like about Continuity and Differentiability
Follow Ask QuestionQuestions
Discussions
Active Users
Followers
New answer posted
11 months agoContributor-Level 10
64. Let y = ex + ex2 + … + ex5.
(ex + ex2 + ex3 + ex4 + ex5).
= ex + 2x ex2 + 3x2ex3 + 4x3ex4 + 5eex4
New answer posted
11 months agoContributor-Level 10
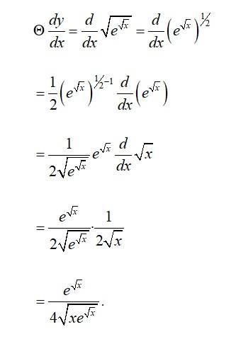
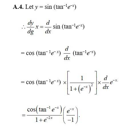
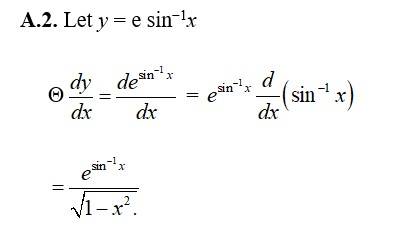
63. Let y = log (cos ex).
log (cos ex)
(cos ex)
= -
= -ex [tan ex]
Taking an Exam? Selecting a College?
Get authentic answers from experts, students and alumni that you won't find anywhere else
Sign Up on ShikshaOn Shiksha, get access to
- 66k Colleges
- 1.2k Exams
- 690k Reviews
- 1850k Answers












