Continuity and Differentiability
Get insights from 80 questions on Continuity and Differentiability, answered by students, alumni, and experts. You may also ask and answer any question you like about Continuity and Differentiability
Follow Ask QuestionQuestions
Discussions
Active Users
Followers
New answer posted
8 months agoContributor-Level 10
|x|- 1| is not differentiable at x = -1, 0, 1
|cospx| is not differentiable at x =
-
New answer posted
8 months agoContributor-Level 10
(a + √2bcosx) (a - √2bcosy) = a² - b²
⇒ a² - √2abcosy + √2abcosx - 2b²cosxcosy = a² - b²
Differentiating both sides:
0 - √2ab (-siny dy/dx) + √2ab (-sinx) - 2b² [cosx (-siny dy/dx) + cosy (-sinx)] = 0
At (π/4, π/4):
ab dy/dx - ab - 2b² (-1/2 dy/dx + 1/2) = 0
⇒ dy/dx = (ab+b²)/ (ab-b²) = (a+b)/ (a-b); a, b > 0
New answer posted
8 months agoContributor-Level 10
For x>2, f (x) = ∫? ¹ (5+1-t)dt + ∫? ² (5+t-1)dt + ∫? (5+t-1)dt
= ∫? ¹ (6-t)dt + ∫? ² (4+t)dt + ∫? (4+t)dt
= [6t-t²/2]? ¹ + [4t+t²/2]? ² + [4t+t²/2]?
= (6-1/2) + (8+2 - (4+1/2) + (4x+x²/2 - (8+2)
= 5.5 + 5.5 + 4x+x²/2 - 10 = 4x+x²/2 + 1.
f (2? ) = 8+2+1 = 11. f (2? ) = 5 (2)+1 = 11. Continuous.
f' (x) = 4+x for x>2. f' (2? ) = 6.
For x<2, f' (x)=5. f' (2? )=5.
Not differentiable at x=2.
New answer posted
11 months agoContributor-Level 10
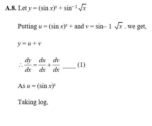
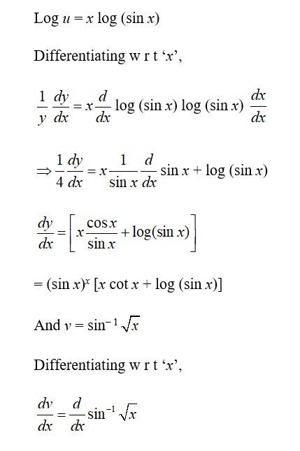
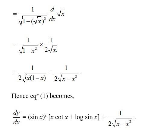
81. Given, yx = xy
Taking log,
x log y .log x
Differentiating w r t 'x' we get,
New answer posted
11 months agoContributor-Level 10
80. Given, xy + yx = 1
Let 4 = xy and v =., we have,
u + v = 1.
___ (1)
So, u = xy
= log u = y log x(taking log)
Now, differentiating w r t 'x',
= xy- 1y + xy log x
And v = yx.
log v = x log y.
Differentiating w r t 'x',
= yx- 1. + yx log y.
So, eqn (1) becomes
xy- 1y + xy log x + yx - 1 + yx log y = 0
= - (xy- 1y + yx log y)
New answer posted
11 months agoContributor-Level 10
79. Let y = (x cos x) x + (x sin)
Putting u = (x cos x)x and v = (x sin x) we, have,
y = u + v
____ (1)
As u = (x cos x)x :
Taking log,
Log u = x log (x cos x)
= x [log x + log (cos x)]
Differentiating w r t 'x' we get,
[log x + log (cos x)] + [log x + dog (cos x)]
+ [log x +log (cos x)]
+ log x + log (cos x)
= 1 -x tan x + log (x cos x)
= 4 [1 -x tan x + log (x cose)]
=(x cos x)x (x cos x)x [1 -x tan + log + log (x cos x)]
And v = (x sin x)
Taking log, log v = log (x sin x)
(log x + log sin x)
Differentiating w r t 'x'
(log x + log sin x) + (log x + log sin x)
+ log
New answer posted
11 months agoContributor-Level 10
78. Let y = xx cos x
Putting 4 = xx cos x and v = we have,
y = u + v
____ (1)
As u xx cos x.
Taking log,
Log u = x cos x log x
Differentiating w r t 'x',
[cos x log x] + cos x log x
= x + cos x log x.
+ cos x log x.
= cos x- sin x. log x + cos x log x.
[cosx + cos x log x- sin x log x]
= xx cos x [cos x + cos x log x-x sin x log x]
And v =
So,
Hence, eqn (1) becomes,
xxcos x [cos x + cos x log x-x sin x log x]
New answer posted
11 months agoContributor-Level 10
77. Let y = x sin x + (sin x) cos x
Putting u = x sin x and v = (sin x) cos x we have,
y = u + v
_____ (1)
As u = x sin x
Taking log,
Log u = sin x log x
Differentiating w r t 'x',
,
= sin x log x + log x sin x
= + cos x log x
= x sin x
And v = (sin x) cos x
Taking log,
Log v = cos x log (sin x).
Differentiating w r t 'x',
= cos x log (sin x) + log (sin x) cos x
sin x- sin x log (sin x)
= cot x cos x- sin x log (sin x)
= v [cot x cos x - sin x log (sin x)]
= (sin x) cos x [cot x cos x- sin x log (sin x)]
Hence, eqn (1) becomes
+ (sin x) cos x [cot x cos x- sin x log (
Taking an Exam? Selecting a College?
Get authentic answers from experts, students and alumni that you won't find anywhere else
Sign Up on ShikshaOn Shiksha, get access to
- 66k Colleges
- 1.2k Exams
- 690k Reviews
- 1850k Answers



