Continuity and Differentiability
Get insights from 80 questions on Continuity and Differentiability, answered by students, alumni, and experts. You may also ask and answer any question you like about Continuity and Differentiability
Follow Ask QuestionQuestions
Discussions
Active Users
Followers
New answer posted
11 months agoContributor-Level 10
9. Given, f (x) =
For x = c < 1,
f (x) = x2 + 1 = c2 + 1
∴ f (x) = f (c)
So f is continuous at x = c < 1.
For x = c > 1,
F (c) = c + 1
f (x) = x + 1 = c + 1
∴ f (x) = f (c)
So, f is continuous at x = c > 1.
For x = c = 1, + (1) = 1 + 1 = 2
L.H.L. = f (x) = x2 + 1 = 12 + 1 = 2.
R.H.L. = f (x) = x + 1 = .1 + 1 = 2
∴ L.H.L = R.H.L. = f (1)
So, f is continuous at x = 1.Hence f has no point of discontinuity.
New answer posted
11 months agoContributor-Level 10
8. Given, f(x) =
For x = c < 0,
f(c) = 1
f(x) = 1 = 1
∴f(c) = f (x)
f is continuous at x 0.
For x = c > 0,
F (c) = 1
f(x) = = 1.
∴f(c) = f(x)
f is continuous at x > 0.
For x = c 0.
L.H.L. = f(x) = ( 1) = 1
R.H.L. f(x) = 1 = 1
∴ L.H.L. R.H.L.
is now continuous at x = 0, point of discontinuity of f is at x = 0.
New answer posted
11 months agoContributor-Level 10
7. Given, f(x) =
For x =
f ( 3) = e + 3 (∴x< 3, )
f(x) =
∴ f(x) = f(c)
So, f is continuous at x = c < 3.
For x = c > 3
f(3) = 6.3 + 2 = 18 + 2 = 20
f(x) = 6x + 2 = 18 + 2 = 20
∴ f(x) = f(c).So f is continuous at x = c > 3.
For. C = 3,
f ( 3) = ( 3) + 3 = 6.
f(x) = .x + 3 = ( 3) + 3 = 6.
f(x) = ( 2x) = 2 ( 3) = 6.
∴ f(x) = f(x) = f( 3)
So, f is continuous at x = c = 3.
For c = 3,
f(3) = 6.3 + 2 = 18 + = 20.
f(x) = 2x = 2 (3) = 6
f(x) = (6x + 2) = 6.3 + 2 = 20
∴ f(x)
New answer posted
11 months agoContributor-Level 10
6. Given f(x) =
For x = c < 2,
F (c) = 2c + 3
f(x) = 2x + 3 = 2c + 3
∴ f (x) = f(c)
So f is continuous at x 2.
For x = c > 2.
F (c) = 2c 3
f(x) = 2x 3 = 2c 3
∴ f(x) = f(c)
So f is continuous at x 2.
For x = c = 2,
L.H.L. = f(x) = .2x + 3 = 2. 2 + 3 = 4 + 3 = 7.
R.H.L. = f(x) = 2x 3 = 2. 2 3 = 4 3 = 1.
∴ LHL RHL
∴ f is not continuous at x = 2.i e, point of discontinuity
New answer posted
11 months agoContributor-Level 10
5. Given, f (a) =
At x = 0,
(0) = 0
f (x) = x = 0
∴ f (x) = f (0)
So, f is continuous at x = 0.
At x = 1,
Left hand limit,
L.H.L = f (x) = x = 1.
Right hand limit,
R. H. L. = f (x) = 5 = 5.
L.H.L. R.H.L.
So, f is not continuous at x = 1.
At x = 2,
f (2) = 5.
f (x) = 5 = 5
(x) = f (2)
So f is continuous at x = 2.
Find all points of discontinuity of f, where f is defined by
New answer posted
11 months agoContributor-Level 10
4. Given, f (x) = x n > n = positive.
At x = 2,
(x) = n.
f (x) = x n = n
∴ f (x) = f (x)
So f is continuous at x = n.
New answer posted
11 months agoContributor-Level 10
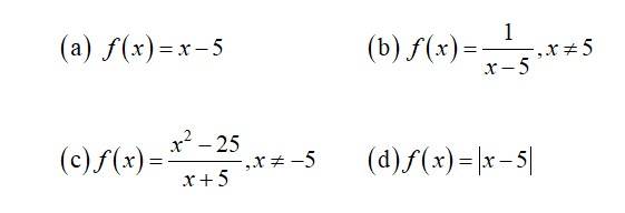
3. (a) Given, f (x) = x 5.
The given f x n is a polynernial f xn and as every pohyouraial f xn is continuous in its domain R we conclude that f (x) is continuous.
(b). Given, f(x) =
For any a {5},
and f(a) =
i e, f(x) = f(a).
Hence f is continuous in its domain.
(c) Given, f(x) =
For any a { 5}
= a 5
And f(a) =
= a 5
f(x) = f(a).
So, f is continuous in its domain.
(d) Given f (a) =
For x = c < 5.
f (c) = (c 5) = 5 c.
f(x) = (x 5) = (c 5) = 5 c.
∴ f(c) = f(x).
So f is continuous.
For x = c > 5.
f (c) = (x 5) = c 5
f(x) = (x 5) = c
New question posted
11 months agoNew answer posted
11 months agoContributor-Level 10
2. Given, f (x) = 2x2 1
At x = 3
Lim f (x) = 2 (3)2 1 = 18 1 = 17.
So, f is continuous at x = 3.
New answer posted
11 months agoContributor-Level 10
1. Given, f (x) = 5x 3
At x = 0, 5x 3 = 5 0 3 = 3.
So f is continuous at x = 1.
At x = 3, 5x 3 = 5 ( 3) 3 = 15 3
= 18.
So f is continuous at x = 3.
At x = 5, .5x 3 = 5.5 3 = 25 3 = 22.
So, f is continuous at x = 5.
Taking an Exam? Selecting a College?
Get authentic answers from experts, students and alumni that you won't find anywhere else
Sign Up on ShikshaOn Shiksha, get access to
- 66k Colleges
- 1.2k Exams
- 690k Reviews
- 1850k Answers

