Ncert Solutions Maths class 12th
Get insights from 2.5k questions on Ncert Solutions Maths class 12th, answered by students, alumni, and experts. You may also ask and answer any question you like about Ncert Solutions Maths class 12th
Follow Ask QuestionQuestions
Discussions
Active Users
Followers
New answer posted
4 months agoContributor-Level 10
(i) Given, A = and B =
Then, A' = and B =
A + B = + = =
LHS. = (A + B)' =
RHS = A'+ B' = = = L H S
(A + B)' = A'+ B'
(ii) A – B =
L.H.S. = (A − B)' =
R.H.S. = A' − B' =
(A − B)' = A' − B'
New answer posted
4 months agoContributor-Level 10
The order of 7x - 5z will be same as order of x and z
as has order 2 * n and z has order 2 * p.and given n = p.
7x - 5z has order 2 * n
∴option b is correct.
New answer posted
4 months agoContributor-Level 10
For, PY + WY to be defined
(E) P should be seen that number of columns of p
Should, be equal to no of nous of yi.e, [x = 3]
n * 3 and (PY) (p * x)
similarity, in W n*3Y 3*xwe see thatno of columns of
W = no of rows in Y and (WY) n * x.
Again, PY + WY is defined if order of (PY) p * k and (WY)n * u are the sameie, P = n
so, option a is correct .
New answer posted
4 months agoContributor-Level 10
Number of books matrix A =[10 dozen 8 dozen 10 dozen]
= (9600 + 5760 + 4800)
= ' 20160
Order of matrices,
New answer posted
4 months agoContributor-Level 10
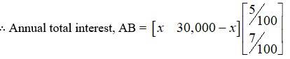
let x be the investment in the first bond out of total '30,000.
(M) then, investment use for the second bond = ' 30,000 - x.
Hence, investment matrix A =
As there is 5% and 7% interest paid the first and second , (per year)


Manual total interest = '
(a) Given, manual total interest = ' 1800.
' 210.000 - '180,000 = 2x
x = ' 15, 000
∴investment in first and second bond is x = 15,000 and ' 30,000 –x = ' 30,000 - '15,000 - ' 15,000 respectively.
(b) Given ,Annual total interest = ' 2000.
' 2,10, 000 - ' 2,00,000
' 2,10, 000 - '2; 000 = 2x
x = ' 5,000
∴investment in first and second hand is x = 5,000 and.&n
New answer posted
4 months agoContributor-Level 10
Given A =
A2 = AA =
A3 = A2A =
So, A3-6A2 + 7A + 2I
(2000 matrix )
Hence proud
Taking an Exam? Selecting a College?
Get authentic answers from experts, students and alumni that you won't find anywhere else
Sign Up on ShikshaOn Shiksha, get access to
- 65k Colleges
- 1.2k Exams
- 687k Reviews
- 1800k Answers