Ncert Solutions Maths class 12th
Get insights from 2.5k questions on Ncert Solutions Maths class 12th, answered by students, alumni, and experts. You may also ask and answer any question you like about Ncert Solutions Maths class 12th
Follow Ask QuestionQuestions
Discussions
Active Users
Followers
New answer posted
4 months agoContributor-Level 10
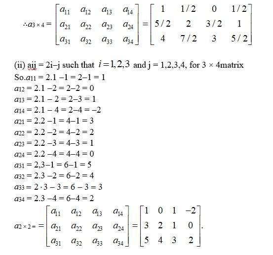
(E) (i) aij = such that i = 1, 2, 3 and j = 1, 2, 3, 4 for 3 * 4 matrix
So, a11= .
a12 =
a14 =
a21 =
a22 =
a23 =

New answer posted
4 months agoContributor-Level 10
(E) (i) aij such that i = 1, 2 and j = 1 * 2 for 2 * 2 matrix
Therefore a11 = A 2*2 =
a12 =
a21
a22 =

New answer posted
4 months ago3.If a matrix has 18 elements, what are the possible orders it can have? What, if it has 5 elements?
Contributor-Level 10
As number of elements of matrix with order m * n
(E) Possible order of matrix with 18 elements are (1 * 18), (2 * 9), (3 * 6), (6 * 3), (9 * 2) and (18 * 1)
Similarly, possible order of matrix with 5 elements are (1 * 5) and (5 * 1)
New answer posted
4 months agoContributor-Level 10
As, number of elements of matrix having order m * n = m.n.
(b) So, (possible) order of matrix with 24 elements are (1 * 24), (2 * 12), (3 * 8), (4 * 6), (6 * 4), (8 * 3), (12 * 2), 24 * 1).
Similarly, possible order of matrix with 13 elements are (1 * 13) and (13 * 1)
New answer posted
4 months agoContributor-Level 10
Given curve is
for
And
We know that at i.e,
So the point of intersection is at


New answer posted
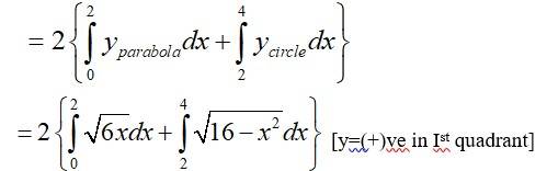
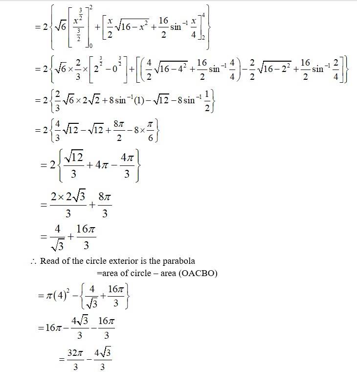
4 months agoContributor-Level 10
The given area of the circle is is a circle with centre (0,0) and radius, and the parabola is -------------(2)

Solving (1) and (2) for x and y.
For,
Which is not possible.
For,



New answer posted
4 months agoContributor-Level 10
The given curve is
Which is in the form of a parabola nad the lines are
At
At

Shaded area of the Ist quadrant
Shaded area of the IInd quadrant
Total area of the enclosed region
Option (c) is correct.
New answer posted
4 months agoContributor-Level 10
The given equation of curve i.e, - (1) is a parabola and
- (2) is a circle
With centre (0,0)and radius

Solving (1) and (2) for x and y,

Taking an Exam? Selecting a College?
Get authentic answers from experts, students and alumni that you won't find anywhere else
Sign Up on ShikshaOn Shiksha, get access to
- 65k Colleges
- 1.2k Exams
- 687k Reviews
- 1800k Answers