Ncert Solutions Maths class 12th
Get insights from 2.5k questions on Ncert Solutions Maths class 12th, answered by students, alumni, and experts. You may also ask and answer any question you like about Ncert Solutions Maths class 12th
Follow Ask QuestionQuestions
Discussions
Active Users
Followers
New answer posted
4 months agoContributor-Level 10
Given, A and B are symmetric matrices.
(E) Then A' = A and B' = B.
Now, (AB - BA)' = (AB)' - (BA)'
= B'A' - A'B'
= BA - AB
= - (AB - BA).
Hence, AB BA is skew-symmetric matrix
New answer posted
4 months agoContributor-Level 10
We have,

The results also holds for n = k + 1. Hence, An
Holds for all natural number n.
New answer posted
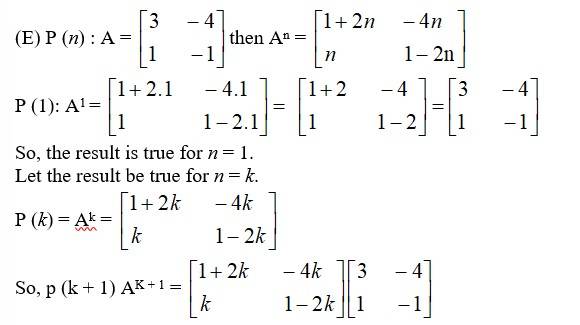
4 months agoContributor-Level 10
We have,
(E) P (n) : If A =
]. then An =
P (1) : A1=
So, the result holds true for n = 1.
Let the result be for n = k. So,
P (k): Au=
Then P (k+1): Ak + 1 = Ak. A =
=
= Ak + 1 =
The result holds for n = k + 1. Hence,
An =
New answer posted
4 months agoContributor-Level 10
We shall prove the result by using principal of mathematical induction
we have,
P (n) :- If A =
P (1): (a I + b A)1 = a1I + 1 ´a1 - 1b A
= a I + a0bA
= a1I + b A {Qx0 = 1}
So the result is true for n = 1.
Let the result be true for n = k. So,
P (k): (a I + b A)u = auI + u. au-1b A. _____ (1)
Now, we prove that the result holds for n = k + 1,
P (k + 1): (a I + b A)k + 1 = (a I + b A). (a I + b A)k
= (a I + b A) (auI + k au 1b A){using eqn (1)}
= a.akI2 + k. a au - 1b IA + akb.AI + a zzk 1b2k A2
= ak + 1I2 + k au - 1+1b IA + ak b AI + ak - 1b2 k A2 _____ (2
New answer posted
4 months agoContributor-Level 10
Matrices A and B will be inverse of each other if.
(E) AB = BA = I.
Here option D is correct.
New answer posted
4 months agoContributor-Level 10
Let A =

∴ A1 =
New answer posted
4 months agoContributor-Level 10
Let A =
We write A = IA
∴A-1 =
New answer posted
4 months agoContributor-Level 10
Let A =
We write, A = IA
∴A-1 =
New answer posted
4 months agoContributor-Level 10
Let A =
We write, A = IA.
∴A-1 does not exit
New answer posted
4 months agoContributor-Level 10
Let A =
We write A = IA.
∴A-1 =
Taking an Exam? Selecting a College?
Get authentic answers from experts, students and alumni that you won't find anywhere else
Sign Up on ShikshaOn Shiksha, get access to
- 65k Colleges
- 1.2k Exams
- 687k Reviews
- 1800k Answers