Ncert Solutions Maths class 12th
Get insights from 2.5k questions on Ncert Solutions Maths class 12th, answered by students, alumni, and experts. You may also ask and answer any question you like about Ncert Solutions Maths class 12th
Follow Ask QuestionQuestions
Discussions
Active Users
Followers
New answer posted
4 months agoContributor-Level 10
A + B =
Now
L.H.S. = a+ (b - c) =
R.H.S. = (a+ b) - c =
= L.H.S.
∴A + (B - C) = (A + B) - C
New answer posted
4 months agoNew answer posted
4 months agoContributor-Level 10
A 3 * 3 order matrix will have 9 elements
(M) Since, the elements can be either 1 or number of choices for each element is 2 .
The required no. of arrangement = 29 (4,2 * 2 * 2 9 times ) 512
So, option D is correct.
New answer posted
4 months agoContributor-Level 10
For the matrices to be equal, the corresponding elements
(B) heed to be equal so,
Fora11, 3x+ 7 = 0
3x = -7.
x =
fora12, 5 = y - 2
y = + 5 + 2 = 7.
For a21, y + 1 = 8
y = 8 - 1 = 7.
fora22, 2 - 3x = 4.
3x = 2 - 4
As the variable x and y has more than one value which is not peacetable.
Option B is correct.
New answer posted
4 months agoContributor-Level 10
(5) Equating the corresponding elements of the matrices we get,
a - b = -1 - (i)
2a + c = 5 - (2)
2a - b = 0 - (3)
3c + d = 13 - (4)
Subtracting eqn (1) from (3) we get,
2a - b (a - b) = 0- (-1)
2a - b - a+ b = 0 + 1 = 1
[a= 1]
Put we get,
2 * 1 + c = 5 c = 5 - 2 [c = 3]
Put (4) we get,
3 * 3 + d = 13 => d = 13 - 9 [d = 4.]
put we get, 1 - b = -1 b = 1 + 1 [b= 2]
New answer posted
4 months agoContributor-Level 10
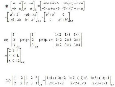
(i)
corresponding
By equating the elements of the matrices, we get,
x= 1
y= 4
z= 3.
(ii)
By equating the corresponding elements of the matrices we get,
x+ y = 6 (I)
5 + Z = 5
xy = 8
x
putting eq in (1) we get
+ y = 6.
8 + y2 = 6y
y2 6y + 8 = 0.
y2 - 4y - 2y + 8 = 0
y (y-4) -2 (y-4) = 0
(y-4) (y-2) = 0
y= 4 0r y = 2.
When y = 4,x= 6-y = 6-4 = and z = 0.
Wheny = 2,x = 6-y = 6-2 = 4 and z = 0.

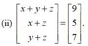
By equating the corresponding elements of the matrices we get,
x+ y + z = 9 -------(i)
x + z = 7 --------(ii)
y + z = 7 -------(iii)
Subtracting eqn (3) from (1) and (2) from (1) we get,
x + y + z -y - z = 9 - 7 and x
Taking an Exam? Selecting a College?
Get authentic answers from experts, students and alumni that you won't find anywhere else
Sign Up on ShikshaOn Shiksha, get access to
- 65k Colleges
- 1.2k Exams
- 687k Reviews
- 1800k Answers