Physics Thermal Properties of Matter
Get insights from 57 questions on Physics Thermal Properties of Matter, answered by students, alumni, and experts. You may also ask and answer any question you like about Physics Thermal Properties of Matter
Follow Ask QuestionQuestions
Discussions
Active Users
Followers
New answer posted
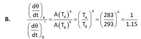
9 months agoContributor-Level 10
msx (16 – 10) = msy (20 – 16)
->4(T – 10) = 9(30 – T)
->T = 23.84°C
New answer posted
9 months agoContributor-Level 10
Heat Released by block = Heat gain by large Ice block
->5 * 0.39 * 500 = mice * 335
= 2.91 kg
Taking an Exam? Selecting a College?
Get authentic answers from experts, students and alumni that you won't find anywhere else
Sign Up on ShikshaOn Shiksha, get access to
- 66k Colleges
- 1.2k Exams
- 691k Reviews
- 1850k Answers





