Physics Thermal Properties of Matter
Get insights from 57 questions on Physics Thermal Properties of Matter, answered by students, alumni, and experts. You may also ask and answer any question you like about Physics Thermal Properties of Matter
Follow Ask QuestionQuestions
Discussions
Active Users
Followers
New answer posted
7 months agoContributor-Level 10
The latent heat of vaporisation of substance is always greater than its latent heat of fusion.
New question posted
8 months agoNew answer posted
8 months agoContributor-Level 10
The desirable properties for handling a cooking pan is low thermal conductivity and high specific heat as it needs to quickly transmit heat and retain more heat for a given rise in temperature.
New answer posted
8 months agoContributor-Level 9
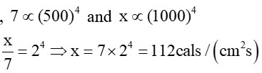
Rate of heat radiated at (227 +
Let rate of heat radiated at (727+ 273) K = xcals/ (cm2s)
By Stefan's law
New answer posted
8 months agoContributor-Level 10
Thermal stress is developed on heating when expansion of rod is hindered.
Taking an Exam? Selecting a College?
Get authentic answers from experts, students and alumni that you won't find anywhere else
Sign Up on ShikshaOn Shiksha, get access to
- 66k Colleges
- 1.2k Exams
- 691k Reviews
- 1850k Answers








