Application of Integrals
Get insights from 41 questions on Application of Integrals, answered by students, alumni, and experts. You may also ask and answer any question you like about Application of Integrals
Follow Ask QuestionQuestions
Discussions
Active Users
Followers
New answer posted
7 months agoContributor-Level 10
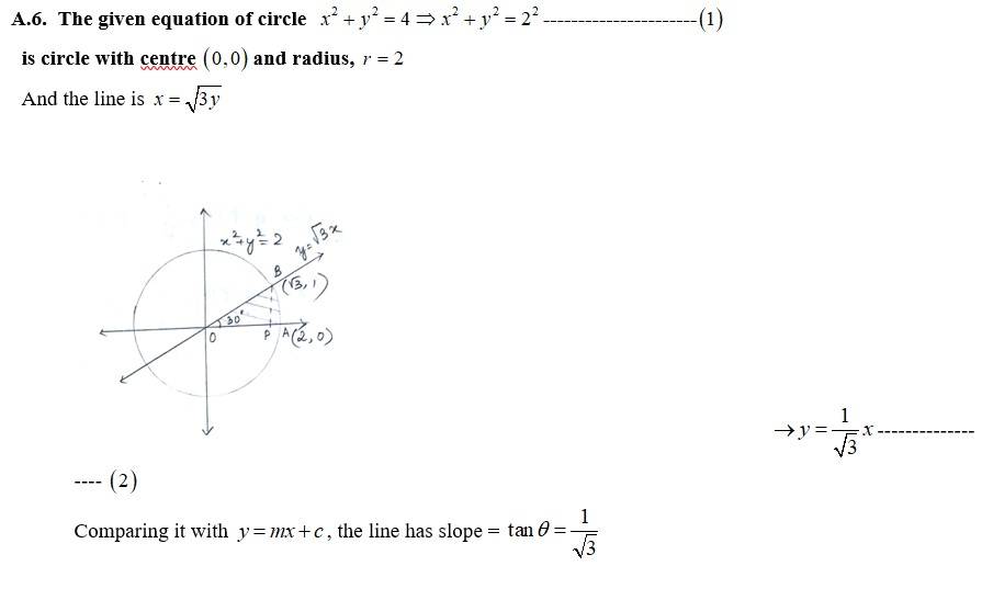
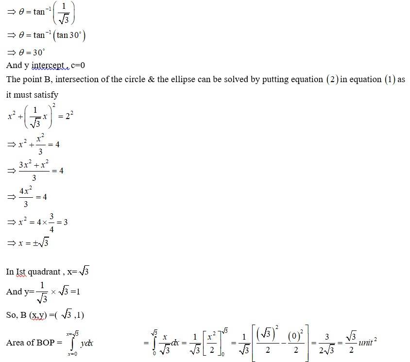
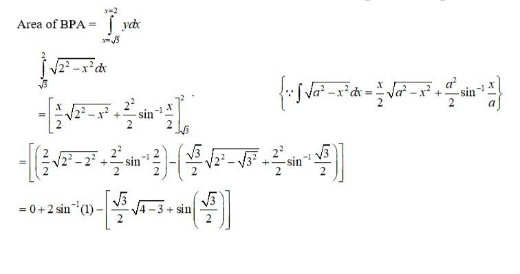
Given that equation of
curve
line
Since the line passes through A&B in Ist and IInd quadrants

the equation must satisfy
for Ist quadrant and
for IInd t quadrant
So, and
and
i.e, A has coordinate (1,1)
i.e, B has coordinate (1,1)
Now, area of AODA = area (AOM)-area (ADOM)
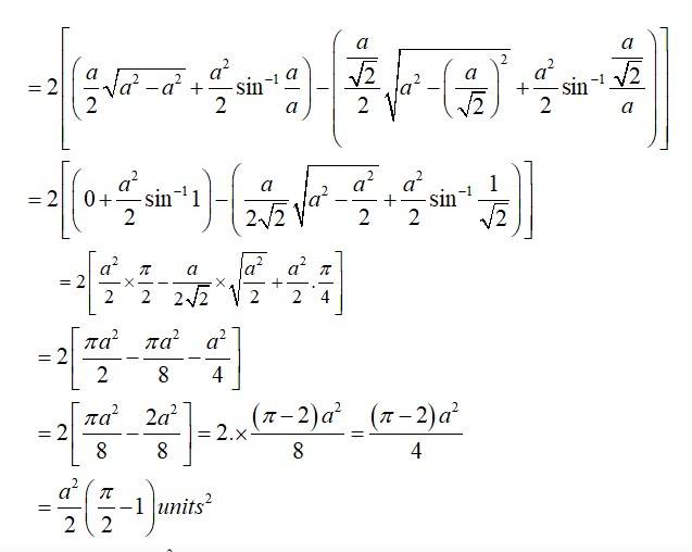
The required area of the region bounded by curve and line is
New answer posted
7 months agoContributor-Level 10
Kindly go through the solution

(Squaring both sides)
(Taking cube on both sides)
New question posted
7 months agoTaking an Exam? Selecting a College?
Get authentic answers from experts, students and alumni that you won't find anywhere else
Sign Up on ShikshaOn Shiksha, get access to
- 66k Colleges
- 1.2k Exams
- 681k Reviews
- 1800k Answers















