Application of Integrals
Get insights from 40 questions on Application of Integrals, answered by students, alumni, and experts. You may also ask and answer any question you like about Application of Integrals
Follow Ask QuestionQuestions
Discussions
Active Users
Followers
New answer posted
8 months agoContributor-Level 9
differentiating w.r.to x
After solving we get also curve passes through (3, 3) Þ c = -2
which passes through
New answer posted
8 months agoContributor-Level 10
lim (x→∞) (∫? ^ (√x²+1) tan? ¹t dt) / x = lim (x→∞) (tan? ¹ (√x²+1) * (x/√ (x²+1) = lim (x→∞) (tan? ¹ x) * (x/√ (x²+1) = π/2
New answer posted
11 months agoContributor-Level 10
Given curve is
for
And
We know that at i.e,
So the point of intersection is at


New answer posted
11 months agoContributor-Level 10
The given equation of the lines are

Area of

The point of intersection of the circle and the parabola is .
Taking in first quadrant
Area of


New answer posted
11 months agoContributor-Level 10
The given vertices of the triangle are A(2,0),B(4,5)and C(6,3)
So, equation of line AB is
Similarly equation of BC is
And equation of AC is
=

Area of
=
New answer posted
11 months agoContributor-Level 10
Given that equation of
curve
line
Since the line passes through A&B in Ist and IInd quadrants
the equation must satisfy
for Ist quadrant and
for IInd t quadrant
So, and
and

i.e, A has coordinate (1,1)
i.e, B has coordinate (1,1)
Now, area of AODA = area (AOM)-area (ADOM)
The required area of the region bounded by curve and line is
New answer posted
11 months agoContributor-Level 10
Given equation of the curve is , which can be break down into each quadrant .
For Ist quadrant,
i.e., - (1)

Similarly for IInd, IIIRd nad IVth quadrant
- (2)
- (3)
- (4)
We draw the above focus lines on a graph and find the area enclosed which is a square.
Required area .
New answer posted
11 months agoContributor-Level 10
The given equation of the parabola is ---------(1)
and that the line is --------------(2)

Solving (1) and (2) for x and y
When
And
The point of intersection of the parabola and the lines
Hence the required area enclosed region is
New answer posted
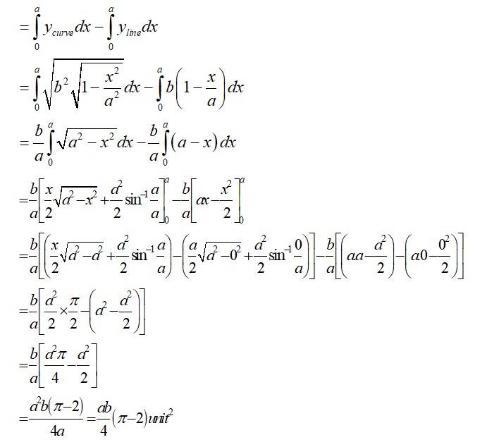
11 months agoContributor-Level 10
The Given equation of the ellipse is

And the equation of the line in
With x and y intersept a and b
So, required area of the enclosed region is

Taking an Exam? Selecting a College?
Get authentic answers from experts, students and alumni that you won't find anywhere else
Sign Up on ShikshaOn Shiksha, get access to
- 66k Colleges
- 1.2k Exams
- 691k Reviews
- 1850k Answers
