Application of Integrals
Get insights from 40 questions on Application of Integrals, answered by students, alumni, and experts. You may also ask and answer any question you like about Application of Integrals
Follow Ask QuestionQuestions
Discussions
Active Users
Followers
New answer posted
11 months agoContributor-Level 10
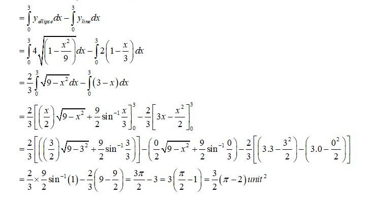
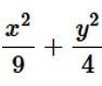
Given equation of the ellipse is Which as major axis aling x- axis and that of the line is which has x and y intercepts at 3 and 2respectively.
Required area of enclosed region is area


New answer posted
11 months agoContributor-Level 10
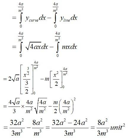
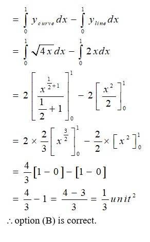
The given equation of parabola is ------------(1)
And the line is ----------------------(2)
Solving (1) and (2) for x and y,
At,
And
Thus, the point of intersection of (1)&(2)are
Area of the enclosed region (BOAB)

=area (CBAD) – area (OADC)
New answer posted
11 months agoContributor-Level 10
The equation of the parabola is -----------(1)
and that of line is ------(2)
The Point of intersection of(1)and (2) is given by

For, i.e, O(0,0)
For, (in first quadrant)
i.e,
Hence, the required area enclosed by the curve and the lines is

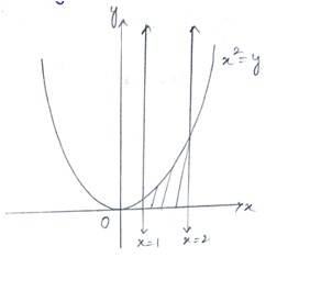
New answer posted
11 months agoContributor-Level 10
The given equation of the curve is

The required area bounded by the curve
New answer posted
11 months agoContributor-Level 10
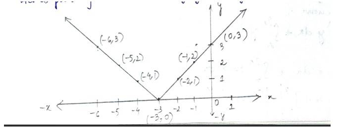
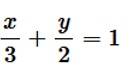
Given equation of lines is -------(1)
The point (x,y)satisfying (1)are


Hence plotting the above in graph we get

Now,
We know that,
So,
New answer posted
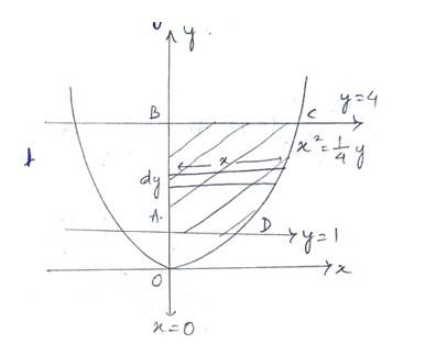
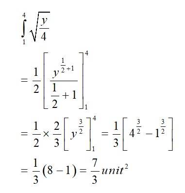
11 months agoContributor-Level 10
Given curve is - (1)

i.e, y-axis and y=4 and y=1
Hence, the required area in Ist quadrant i.e, area ABCD =

New answer posted
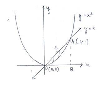
11 months agoContributor-Level 10
The given equation of the curve is --------(1)
and that of the line is ---------(2)

Solving eq (1) and (2)for x and y
Where,
And when
The point of intersection of the parabola and the line
Is O(0,0) and B (1,1)
Hence, area between the curve and the line is
New answer posted
11 months agoContributor-Level 10
(i) Given of curve is and the equation are
Area enclosed

(ii) Given equation of curve is and the lines are
So, area enclosed

New answer posted
11 months agoContributor-Level 10
The given equation of the curve is - (1) and
the line is - (2)
Solving (1) and (2) for x and y

So,
for we get
for , we get
so, the point of intersection are (0,0)and (1,2)
area (DCAO)=area (DCABO)-area ( )

New answer posted
11 months agoContributor-Level 10
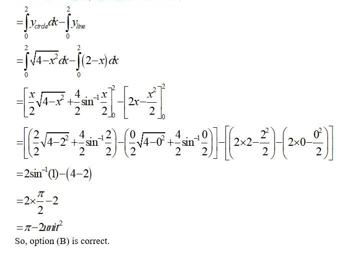
The equation of circle is which has centre at (0,0) & radius,
And the line

The smaller area of circle is given by
Area (ABCA) area (BOAB) – area (BOA)


Taking an Exam? Selecting a College?
Get authentic answers from experts, students and alumni that you won't find anywhere else
Sign Up on ShikshaOn Shiksha, get access to
- 66k Colleges
- 1.2k Exams
- 691k Reviews
- 1850k Answers

and the line 