Application of Integrals
Get insights from 41 questions on Application of Integrals, answered by students, alumni, and experts. You may also ask and answer any question you like about Application of Integrals
Follow Ask QuestionQuestions
Discussions
Active Users
Followers
New answer posted
7 months agoContributor-Level 10
The equation of circle is which has centre at (0,0) & radius,
And the line

The smaller area of circle is given by
Area (ABCA) area (BOAB) – area (BOA)


New answer posted
7 months agoContributor-Level 10
The given equation of the sides of triangle is
--------------------(1)
-------------------(2)
-------------------------(3)
Solving eqn (1) and (2) for x & y we get
The point of inersection of line (1)and (2)is A (0,1)

Putting x=4 in eq (1) and (2)we get,
The point of intersection of line (1)and (3) is B(4,9) and C (4,13)
Hence the required area enclosed ABC
New answer posted
7 months agoContributor-Level 10
Let A (-1,0),B(1,3) and C (3,2) be the vertices of a triangle ABC
So, equation of line AB is
-------------(1)
Equation of line BC is
---------------(2)
Equation of line AC is
------------------------------(3)
Area of ABC= area ( )

New answer posted
7 months agoContributor-Level 10
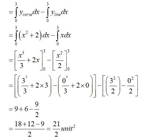
The equation of the curve is - (1) and
lines are
- (2)
- (3)
- (4)

Equation (1)is a parabola with vertex (0,2)
Equation (2)is a straight line passing origin with shape =
The required area enclosed OBCDO = area (ODCAO)-area (OBAO)

New answer posted
7 months agoContributor-Level 10
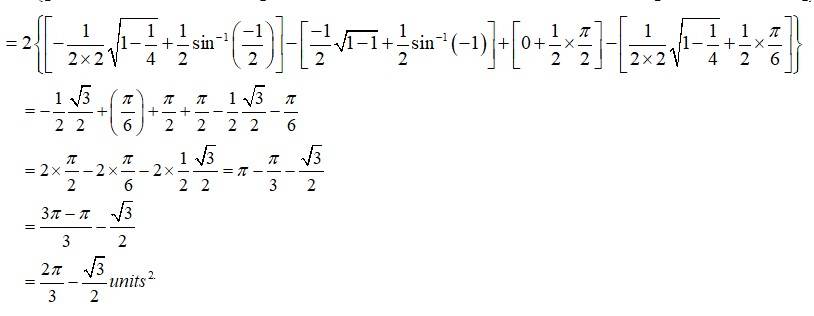
The equation of the given circle is
- (1)
- (1) - (2)
Equation (1) is a circle with centre 0 (0,0) and radius 1. Equation (2) is a circle with centre c (1,0) and radius 1.
Solving (1) and (2)



New answer posted
7 months agoContributor-Level 10
The equation given circle is

i.e, centre (0,0), radius
since intersect the circle
we can put in
which is not possible or cannot be (-)ve


New answer posted
7 months agoContributor-Level 10
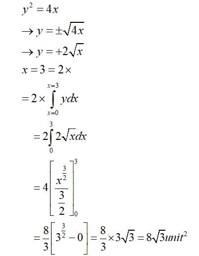
As intersect at Athen,
A has coordinate
Hence, area of curve =
Option (B) is correct
New answer posted
7 months agoContributor-Level 10
The given equation of the curve is
in Ist quadrant
So, area of curve enclosed by
And area (AOCA)

New answer posted
7 months agoContributor-Level 10
Given curve is and the equation of line is
The point of intersection of the curve and the line can be determine as follows.
Put,

In to determine value of x
i.e,
and
, we have
And at we have
So, the coordinates A and B are (2,1) and ( )
The required area before the line & the curve is area = area of trapezium (BNMAB)- area under curve BDA
Taking an Exam? Selecting a College?
Get authentic answers from experts, students and alumni that you won't find anywhere else
Sign Up on ShikshaOn Shiksha, get access to
- 66k Colleges
- 1.2k Exams
- 681k Reviews
- 1800k Answers


