Chemistry Hydrocarbon
Get insights from 93 questions on Chemistry Hydrocarbon, answered by students, alumni, and experts. You may also ask and answer any question you like about Chemistry Hydrocarbon
Follow Ask QuestionQuestions
Discussions
Active Users
Followers
New answer posted
8 months agoContributor-Level 10
Paraffin is a term derived from the latin literature meaning low reactivity or little affinity. This term is generally used to denote alkanes because out of all the hydrocarbons, they have the least reactivity because of having a strong carbon bond between their atoms.
New answer posted
8 months agoContributor-Level 10
It may vary, depending on the type of substance you are talking about. Some can have their carcinogenic/toxic levels reduced and some may not. Some processes involve detoxification, overheating, altering the chemical structure etc. You can also yourself avoid exposure to these substances by adopting healthy lifestyle habits like jogging, yoga, exercising, sports, meditation etc. and staying away from cigarettes, alcohol, tobacco and others.
New answer posted
8 months agoContributor-Level 10
There exist different types of cancer, some of which have a remedy to be treated and some of which may never have in the near future. Technologies have advanced, the field of Science and biomedical sector have witnessed significant improvements in the previous decades. Many cancers which seemed impossible to be treated years ago have today a reliable cure. So it depends on which type of cancer and which stage of cancer are you specifically talking about.
New answer posted
8 months agoContributor-Level 10
Yes. Indeed there are various scientists who are trained to prepare and handle these carcinogens safely in a laboratory. These carcinogens are used to prepare various useful substances such as drugs and medicines so their usage needs to be monitored regularly and handled carefully. The production must comply with legal rules and standards.
New answer posted
8 months agoContributor-Level 9
To study Hydrocarbons for NEET, you can use the Hydrocarbons Class 11th NCERT solutions PDF.
New answer posted
8 months agoContributor-Level 9
Alkanes, Alkenes, Alkynes, and Aromatics hydrocarbons are the four main hydrocarbons.
New answer posted
8 months agoContributor-Level 9
Hydrocarbons are organic compounds made of only carbon and hydrogen.
New answer posted
8 months agoContributor-Level 10
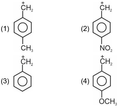
Electron withdrawing group decreases the stability of carbocation.
Thrrefore, Correct order of stability of carbocation is
New answer posted
8 months agoContributor-Level 10
In (Ph)2C=CHCH3, no spatial variation is possible
It will not show geometrical isomerism.
Taking an Exam? Selecting a College?
Get authentic answers from experts, students and alumni that you won't find anywhere else
Sign Up on ShikshaOn Shiksha, get access to
- 66k Colleges
- 1.2k Exams
- 691k Reviews
- 1850k Answers



