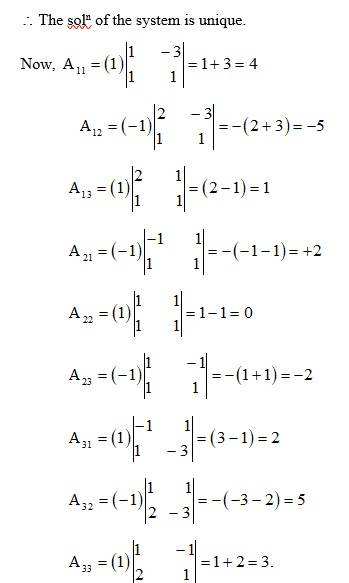
Determinants
Get insights from 194 questions on Determinants, answered by students, alumni, and experts. You may also ask and answer any question you like about Determinants
Follow Ask QuestionQuestions
Discussions
Active Users
Followers
New answer posted
5 months agoContributor-Level 10
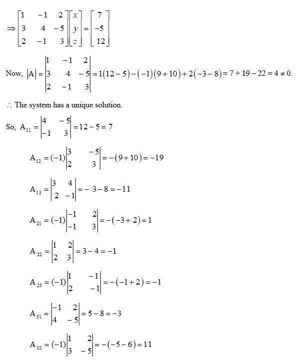
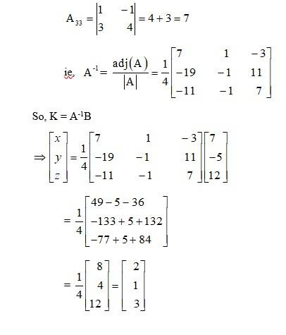
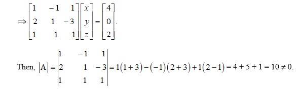
The given system of eqn can be written in matrix form as
AK = B


∴ x= 2, y = 1 and z = 3 .
New answer posted
5 months agoContributor-Level 10
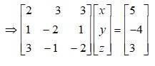
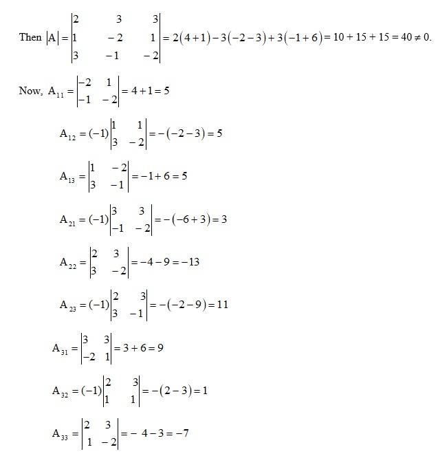
The given system of equation can be represented in matrix form as AK = B



New answer posted
5 months agoNew answer posted
5 months agoNew answer posted
5 months agoContributor-Level 10
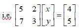
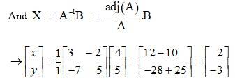
The given system of eqn in matrix form is AK = B.

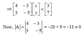
Then, |A| = 5 x 3 - 7 x 2 = 15 - 14 = 1 ≠ 0
∴ The system has a unique solution.

∴ k = 2 and y = -3
New answer posted
5 months agoContributor-Level 10
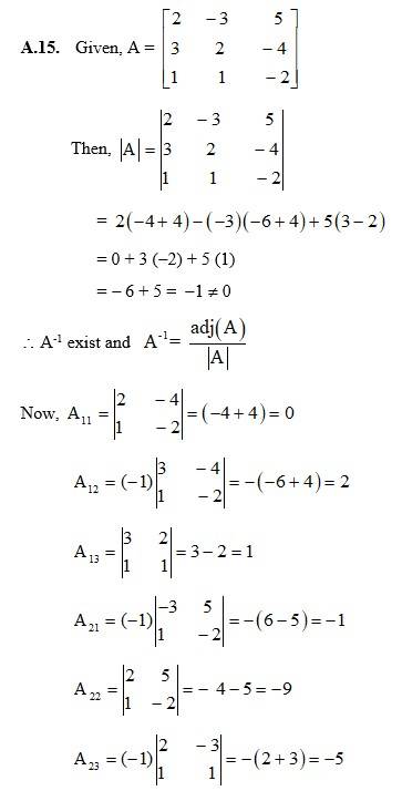
The given system of eqn in matrix form is AK = B

= 5 x 28 -13 + 4 x (-9)
= 140 - 13 - 76
= 51 ≠ 0 .
The given system of eqn are consistent
Taking an Exam? Selecting a College?
Get authentic answers from experts, students and alumni that you won't find anywhere else
Sign Up on ShikshaOn Shiksha, get access to
- 65k Colleges
- 1.2k Exams
- 679k Reviews
- 1800k Answers












