Determinants
Get insights from 194 questions on Determinants, answered by students, alumni, and experts. You may also ask and answer any question you like about Determinants
Follow Ask QuestionQuestions
Discussions
Active Users
Followers
New answer posted
7 months agoContributor-Level 10
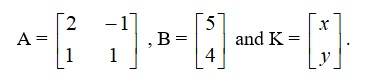
The given system of eqn using matrix form can be written as AK = B

= -15 + 3 + 12
= -15 + 15
= 0


New answer posted
7 months agoContributor-Level 10
The given system of eqn using matrix method can be expressed as
AK = B

= 4a – 2a – a
= a ≠ 0.
Hence, the given system of eqn is consistent
New answer posted
7 months agoContributor-Level 10
The given system of equation can be written in the form AK = B

Hence the given system of eqn are inconsistent.
New answer posted
7 months agoContributor-Level 10
The given system of eqn can be written in the form AK = B where

Now, = 2 – (-1) = 2 + 1 = 3 ≠ 0.
∴ The system of eqnis consistent.
New answer posted
7 months agoContributor-Level 10
The given system of equation can be written in the form of AK = B

Now, = 3 * 1 - 2 * 2 = 3 - 4 = -1 ≠ 0.
∴ The system has unique soln and hence equation are consistent
New answer posted
7 months agoContributor-Level 10
Given, A is an invertible matrix of order 2.


∴ Option (B) is correct.
New answer posted
7 months agoContributor-Level 10
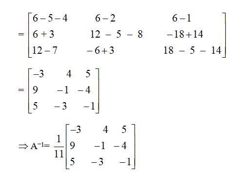
Given, A=
we have, A2 = A?A =
Hence, A2 – 5A+71=
Now, A2 – 5A+7I=0.
A?A – 5A= –7I.
A A(A–1)–5(AA–1)= –7I(A–1) (Multiplying by A-1on both sides)
AI – 5I= –7A–1
7A–1= –(AI – 5I)
A–1=
=
=
A–1=
Taking an Exam? Selecting a College?
Get authentic answers from experts, students and alumni that you won't find anywhere else
Sign Up on ShikshaOn Shiksha, get access to
- 66k Colleges
- 1.2k Exams
- 681k Reviews
- 1800k Answers








