Determinants
Get insights from 194 questions on Determinants, answered by students, alumni, and experts. You may also ask and answer any question you like about Determinants
Follow Ask QuestionQuestions
Discussions
Active Users
Followers
New answer posted
7 months agoContributor-Level 10
The area of triangle from by the given points is area ( ΔABC) =
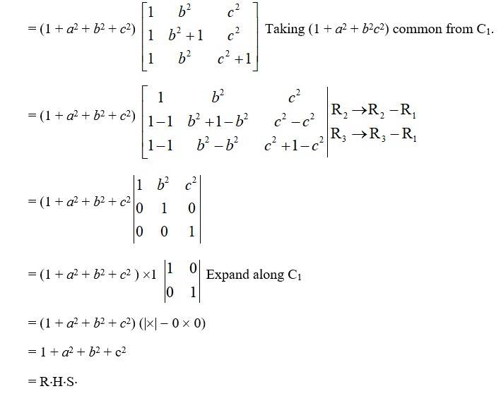
C1→ C1 + C2 + C3
Taking (a + b + c + 1) common from C1
= 0
Hence the points A, B C are collinear.
New answer posted
7 months agoContributor-Level 10
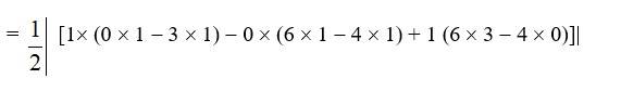
(i) Area of triangle is given by,
Δ =

=7.5sq. units.
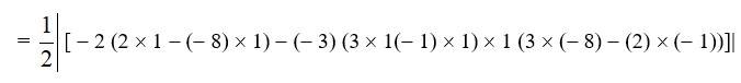
(ii) Area of the triangle is given by,
Δ =

= =23.5 sq. units
(iii) Area of triangle is given by,
Δ =

= 15 sq. units.
New answer posted
7 months agoContributor-Level 10
Option 'C' is correct as determinant is a number associated to a square matrix.
New answer posted
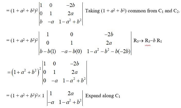
7 months agoContributor-Level 10
LHS =


= (1 + a2 + b2)2 [(1 -a2 + b2) - 2a (-a)]
= (1 + a2 + b2)2 (1 -a2 + b2 + 2a2)
= (1 + a2 + b2)2 (1 + a2 + b2)
= (1 + a2 + b2)3 = R.H.S.
New answer posted
7 months agoContributor-Level 10
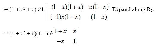
LHS =
R1→ R1 + R2 + R3


= (1 + x2 + x) (1 -x)2 [ (1 + x)* 1 - (-x) x].
= (1 + x2 + x) (1 -x)2 (1 + x + x2).
= { (1 + x2 + x) (1 -x)}2
= {1 -x + x2-x3 + x-x2}2
= (1 -x3)2 = R.H.S.
New answer posted
7 months agoContributor-Level 10
(i) LHS =
R1→ R1 + R2 + R3
= (a + b + c) Taking (a + b + c) common from R1
= (a + b+ c)
= (a + b + c)
= (a + b + c) * 1. Expand along R1
= (a + b + c){(a + b + c)2- 0}
= (a + b +c)3 = R.H.S
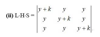
(ii) LHS =
C1→ C1 + C2 + C3.
= 2 (k + y + z) Taking 2

New answer posted
7 months agoContributor-Level 10
(i) LHS =
R1→R1 + R2 + R3
Taking (5x + 4) common from R1.

= (5x + 4)[0 - (4 -x)(x- 4)]
= (5x + 4)(4 -x)(4 -x)
= (5x + 4)(4 -x)2 = R.H.S.

= R1→R1 + R2+ R3
= (3y + k)

New answer posted
7 months agoContributor-Level 10
LHS
Multiplying R1, R2& R3 by x, y&z.
Taking xyz common from c3.
=
Expanding along c3 we get,
= 1
= (y-x)(z-x). Taking (yx) & (zx) common from R1 and R2.
= (y-x)(z-x). Taking (y-x) & (z-x) common from R1 and R2.
= (y-x)(z-x)[(y + x)(z2 + x2 + zx) - (z + x)(y2 + x2 + xy)]
= (y-x)(z-x)[yz2 + yx2 + xyz + xz2 + x3 + x2z-zy2-zx2-xyz-xy2-x3-x2y]
= y-x)(z-x)[yz2-zy2 + xz2-xy2]
= (y-x)(z-x)[yz (z-y) + x(z2-y2)]
= y-x)(z-x)(z-y)[yz + x (z + y)]

= (- 1)(x-y)(z-x)(- 1)(y-z)[yz+ 1 xz + xy]
= (x-y)(y-z)(z-x)(xy + yz + xz). = R.H.S
Taking an Exam? Selecting a College?
Get authentic answers from experts, students and alumni that you won't find anywhere else
Sign Up on ShikshaOn Shiksha, get access to
- 66k Colleges
- 1.2k Exams
- 681k Reviews
- 1800k Answers




