Determinants

Get insights from 194 questions on Determinants, answered by students, alumni, and experts. You may also ask and answer any question you like about Determinants

Follow Ask Question
194

Questions

0

Discussions

0

Active Users

0

Followers

New answer posted

11 months ago

0 Follower 2 Views

V
Vishal Baghel

Contributor-Level 10

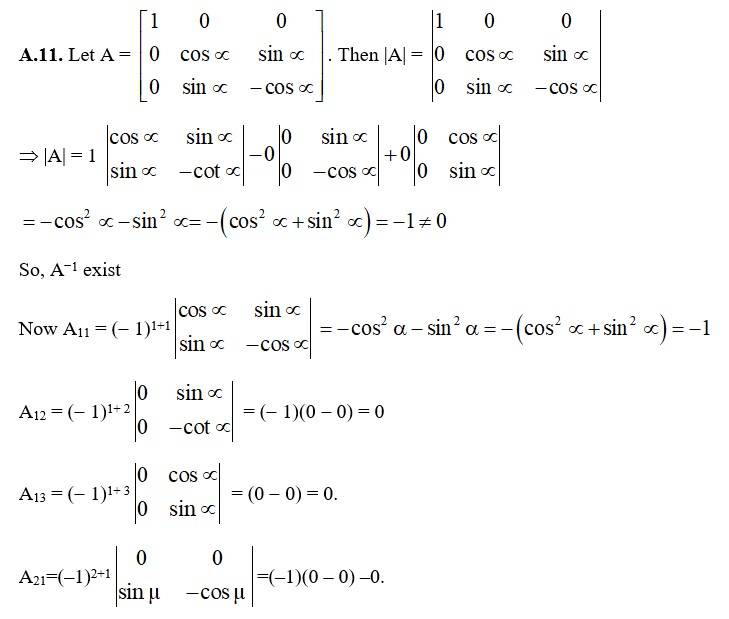
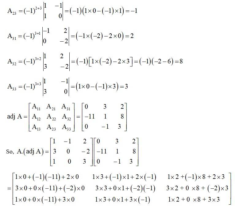
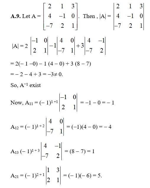
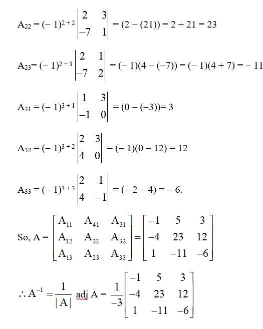
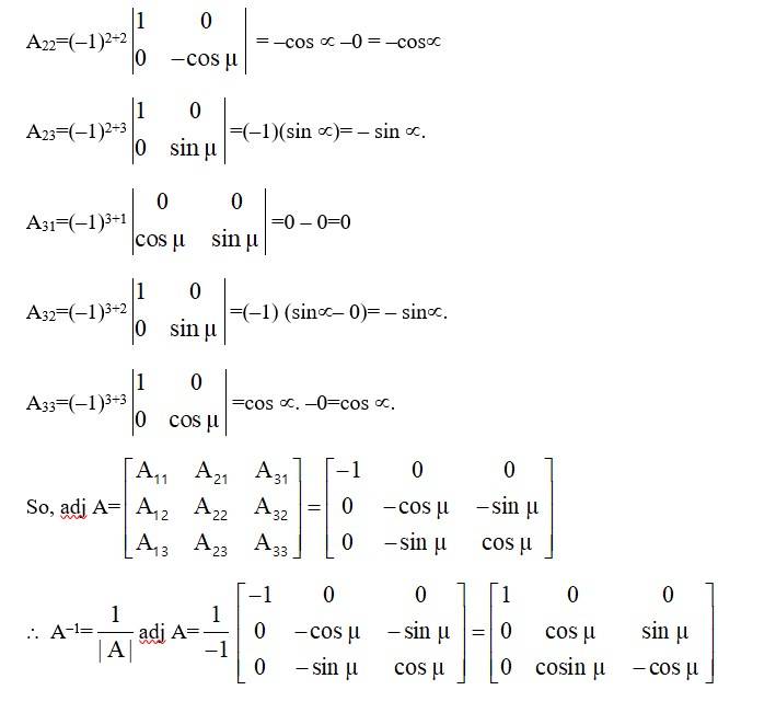
Let A =  [112023324] Then |A| = |112023324|

||=1*|2324| (1)|0334|+2|0232|

= (8 - 6) + (0 - (- 9) + 2 (0 - 6)

= 2 + 9 - 12 = - 1 ¹ 0

So, A-1 exist

New answer posted

11 months ago

0 Follower 3 Views

V
Vishal Baghel

Contributor-Level 10

Kindly go through the solution

New answer posted

11 months ago

0 Follower 3 Views

V
Vishal Baghel

Contributor-Level 10

Kindly go through the solution

New answer posted

11 months ago

0 Follower 5 Views

V
Vishal Baghel

Contributor-Level 10

Kindly go through the solution

New answer posted

11 months ago

0 Follower 3 Views

V
Vishal Baghel

Contributor-Level 10

Kindly go through the solution

New answer posted

11 months ago

0 Follower 4 Views

V
Vishal Baghel

Contributor-Level 10

Kindly go through the solution

New answer posted

11 months ago

0 Follower 3 Views

V
Vishal Baghel

Contributor-Level 10

Kindly go through the solution

New answer posted

11 months ago

0 Follower 2 Views

V
Vishal Baghel

Contributor-Level 10

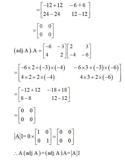
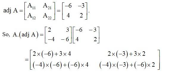
Let A= [2346]|A|= (2* (6)3* (4))=12+12=0

A11= (1)1+1* (6)=6A12= (1)1+2* (4)=4

A21= (1)2+1* (3)=3A22= (1)2+2*2=2

New answer posted

11 months ago

0 Follower 2 Views

V
Vishal Baghel

Contributor-Level 10

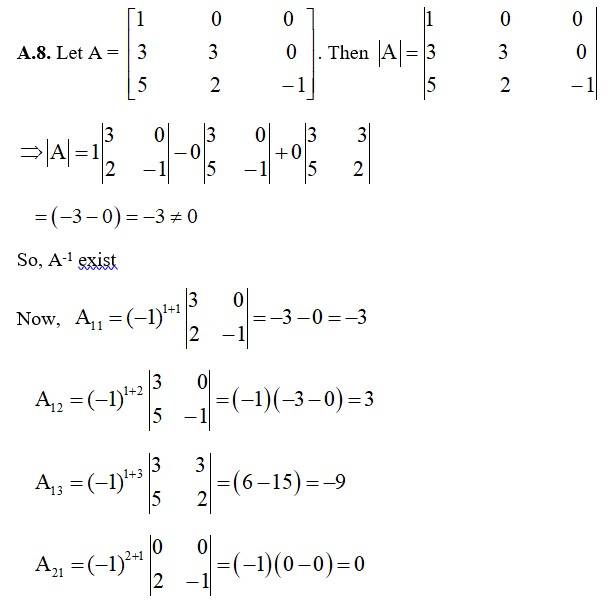
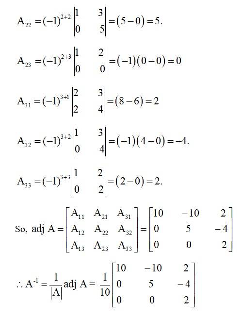
We have,

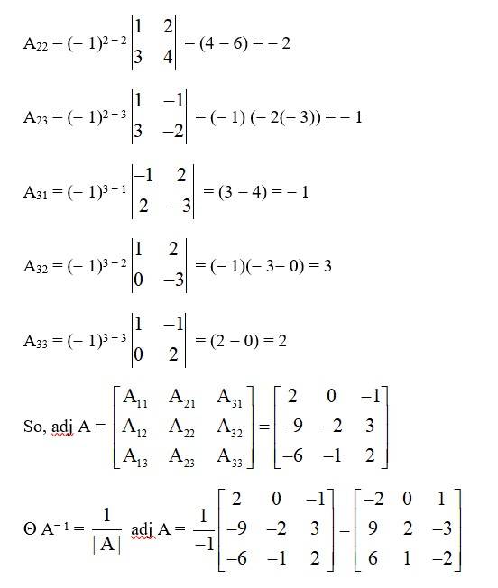
A11= (1)1+1*|3501|= (3*15*0)=3

A12= (1)1+2*|2521|= (1) (2*15* (2)=1 (2+10)=12

A13= (1)1+3*|2320|= [2*0 (2)*3]=6

New answer posted

11 months ago

0 Follower 2 Views

V
Vishal Baghel

Contributor-Level 10

We have,

A 1 1 = ( 1 ) 1 + 1 * 4 = 4
A 1 2 = ( 1 ) 1 + 2 * 3 = 3
A 2 1 = ( 1 ) 2 + 1 * 2 = 2
A 2 2 = ( 1 ) 2 + 2 * 1 = 1 .

Get authentic answers from experts, students and alumni that you won't find anywhere else

Sign Up on Shiksha

On Shiksha, get access to

  • 66k Colleges
  • 1.2k Exams
  • 690k Reviews
  • 1850k Answers

Share Your College Life Experience

×

This website uses Cookies and related technologies for the site to function correctly and securely, improve & personalise your browsing experience, analyse traffic, and support our marketing efforts and serve the Core Purpose. By continuing to browse the site, you agree to Privacy Policy and Cookie Policy.