Determinants
Get insights from 194 questions on Determinants, answered by students, alumni, and experts. You may also ask and answer any question you like about Determinants
Follow Ask QuestionQuestions
Discussions
Active Users
Followers
New answer posted
5 months agoContributor-Level 10
Given,
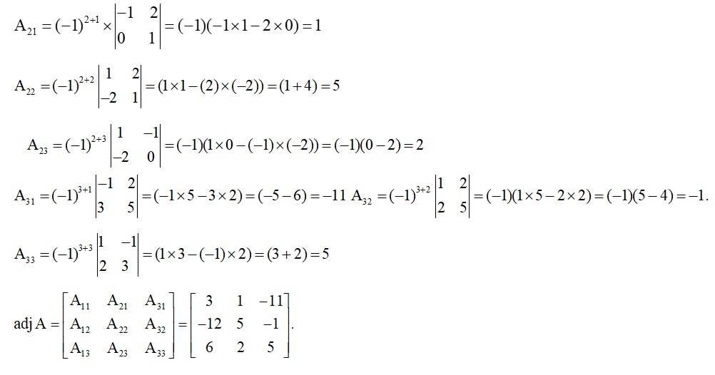
Co-factor of elements of third column

∴ Δ = a13A13 + a23A23 + a33A33
= yz (z-y) + zx [- (z-x)] + xy (y-x)
= y z2-y2z-z2x+ zx2 + xy2-x2y.
= yz2-y2z+ (xy2-xz2) + (zx2-x2y)
= yz (z-y) + x (y2 – z2) -x2 (y-z)
= -yz (y-z) + x (y + z) (y-z) -x2 (y-z)
= (y-z) [-yz + x (y + z) -x2]
= (y-z) [-yz + xy + xz-x2]
= (y-z) [-y (z-x) + x (z-x)]
= (y-z) (z-x) (x -y)
New answer posted
5 months agoContributor-Level 10
Given,
Co-factors of elements of second row,

? ? = a21A21 + a22A22 + a23A23
= 2 * 7 + 0 * 7 + 1 * (-7) = 14 + 0 - 7 = 7.
New answer posted
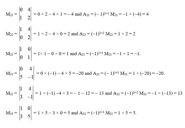
5 months agoContributor-Level 10
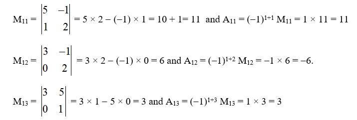
(i) We know that,
Minor of element aij is mij and its co-factor is Aij = (–1)i+j Mij
So,
M11 = 3 and A11 = (- 1)1 + 1 M11 = 1 * 3 = 3
M12 = 0 and A12 = (-1)1+2 M12 = -1 * 0 = 0
M21 = -4 and A21 = (-1)2+1 M21 = (-1) * (-4) = 4
M22 = 2 and A22 = (-1)2+2 M22 = 1 * 2 = 2
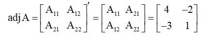
(ii) Given A =
So,
M11 = d and A11 = (-1)1+1 M11 = 1 * d = d
M12 = b and A12 = (-1)1+2 M12 = (-1) * b = -b
M21 = c and A21 = (-1)2+ 1 M21 = (–1) * c = –c
M22 = a and A22 = (-1)2+2 M22 = 1 * a = a
New answer posted
5 months agoNew answer posted
5 months agoContributor-Level 10
(i) Let P (x, y) be any point on line joining A (1, 2) & B (3, 6)
Then, area of triangle (ABP) = 0 {the point are collinear

New answer posted
5 months agoContributor-Level 10
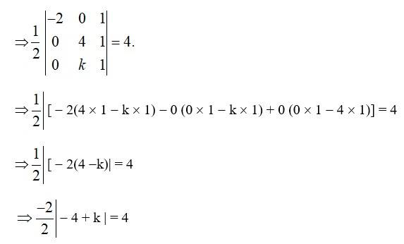
(i) Area of the triangle = 4 sq. units (given)

(ii) Area of the triangle = 4 sq units


Taking an Exam? Selecting a College?
Get authentic answers from experts, students and alumni that you won't find anywhere else
Sign Up on ShikshaOn Shiksha, get access to
- 65k Colleges
- 1.2k Exams
- 679k Reviews
- 1800k Answers








