Integrals
Get insights from 366 questions on Integrals, answered by students, alumni, and experts. You may also ask and answer any question you like about Integrals
Follow Ask QuestionQuestions
Discussions
Active Users
Followers
New answer posted
10 months agoContributor-Level 10
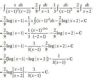
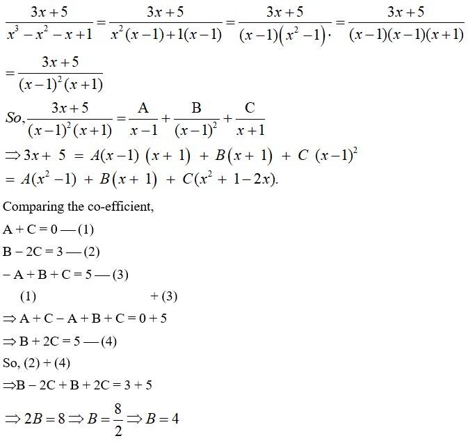
= A(x- 1)(x + 2) + B(x + 2) + C(x- 1)2
= A(x2 + 2x-x- 2) + B(x + 2) + C(x2 + 1 - 2x)
= A(x2 + x- 2) + B(x + 2) + C(x2- 2x + 1)
Comparing the co-efficient we get, A + C = 0 ¾ (1)
A + B - 2C = 1 ¾ (2)
- 2A + 2B + C = 0 ¾ (3)
EQn (3) - 2 ´ enQ. (2),
- 2A + 2B + C (2A + 2B - 4C) = 0 - 2 ´ 1.
=> - 4A + 5C = - 2 ¾ (4)
Eqn (4) + 4 ´ Eqn (1) we get,
- 4A + 5C + 4A + 4C = - 2 + 4 ´ 0
=> 9C = - 2

Taking an Exam? Selecting a College?
Get authentic answers from experts, students and alumni that you won't find anywhere else
Sign Up on ShikshaOn Shiksha, get access to
- 66k Colleges
- 1.2k Exams
- 688k Reviews
- 1850k Answers









