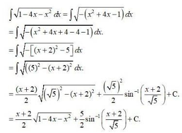
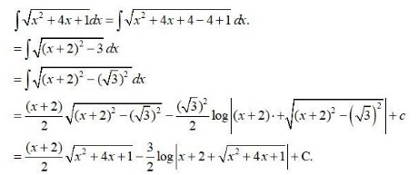
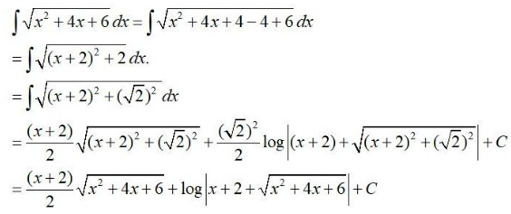
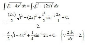
Integrals
Get insights from 366 questions on Integrals, answered by students, alumni, and experts. You may also ask and answer any question you like about Integrals
Follow Ask Question
366
Questions
0
Discussions
5
Active Users
0
Followers
Taking an Exam? Selecting a College?
Get authentic answers from experts, students and alumni that you won't find anywhere else
Sign Up on ShikshaOn Shiksha, get access to
- 66k Colleges
- 1.2k Exams
- 681k Reviews
- 1800k Answers




















