Logical Reasoning
Get insights from 268 questions on Logical Reasoning, answered by students, alumni, and experts. You may also ask and answer any question you like about Logical Reasoning
Follow Ask QuestionQuestions
Discussions
Active Users
Followers
New answer posted
3 months agoContributor-Level 10
From 2, the driver came in first or second.
From 3, he came at midnight. So there were either two people who came after midnight or there was one person who came before midnight and one who came after midnight.
From 4 neither Ajeet nor Ajay arrived after midnight. So there is only one person who came after midnight. He has to be Sujeet. It follows that one of the three arrived before midnight.
So we have the following.
Before midnight Ajeet/Ajay
At midnight Driver Ajay/Ajeet
After Midnight Sujeet
From 6, Sujeet was not the murderer.
From 1, the murderer came in second or third.
As Sujeet came third, and was not the murderer, the person who came
New question posted
3 months agoNew question posted
3 months agoNew answer posted
3 months agoContributor-Level 10
In the 1st round in one group number of matches is (7 * 8/2) = 28
Let's consider bottom 3 they will have 3 matches between them, so remaining 28-3 = 25 matches have involvement of top 5 team, if they won equal number of matches, i.e. 5 each then decision will be taken based on tie breaker rule, hence a team may be eliminated even after winning 5 matches.
New answer posted
3 months agoContributor-Level 10
Number of matches in stage 1 is 2 (8C2) = 2 (7 * 8/2) = 56
Stage 2 will be a knock out tournament with 8 teams so in this stage number of matches will be 7
Total 56 + 7 = 63
New answer posted
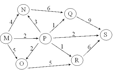
3 months agoContributor-Level 10
The maximum quantity of natural gas that can be transported that can be transported from M to Q is 6
Taking an Exam? Selecting a College?
Get authentic answers from experts, students and alumni that you won't find anywhere else
Sign Up on ShikshaOn Shiksha, get access to
- 65k Colleges
- 1.2k Exams
- 681k Reviews
- 1800k Answers





