Maths Binomial Theorem
Get insights from 93 questions on Maths Binomial Theorem, answered by students, alumni, and experts. You may also ask and answer any question you like about Maths Binomial Theorem
Follow Ask QuestionQuestions
Discussions
Active Users
Followers
New answer posted
4 months agoContributor-Level 10
Coeff of x? in (x²+1/bx)¹¹: T? = ¹¹C? (x²)¹¹? (1/bx)? = ¹¹C? x²²? ³? b?
22-3r=7 ⇒ 3r=15 ⇒ r=5. Coeff is ¹¹C? /b?
Coeff of x? in (x-1/bx²)¹¹: T? = ¹¹C? (x)¹¹? (-1/bx²)? = ¹¹C? x¹¹? ³? (-1)? b?
11-3r=-7 ⇒ 3r=18 ⇒ r=6. Coeff is ¹¹C? (-1)? /b? = ¹¹C? /b?
¹¹C? /b? = ¹¹C? /b? ⇒ b = ¹¹C? /¹¹C? = (11-5+1)/5 = 7/5. This differs from the solution.
Let's check the exponents again.
x? : 22-2r-r=7 => 22-3r=7 => 3r=15 => r=5. Correct.
x? : 11-r-2r=-7 => 11-3r=-7 => 3r=18 => r=6. Correct.
The given solution has b=1.
New answer posted
4 months agoContributor-Level 10

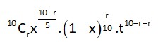
According to question, 10 – 2r = 0 ⇒ r = 5
T6 is maximum, when f(x) = is maximum.
For maximum,
New answer posted
4 months agoContributor-Level 10

(1 + x)15 =
differentiating 15 (1 + x)14 =
put = x = -1
New answer posted
4 months agoContributor-Level 10
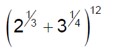
= Equating the coefficient of .(i)
= Equating the coefficient of
From (i) and (ii)
Hence
But maximum value of k is not defined bonus
New answer posted
4 months agoContributor-Level 10
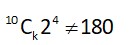
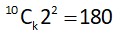
Let the constant term is (k + 1)th term.
For constant term 10r – rk – 2k = 0.
For k = 6 
For k = 8 
New answer posted
4 months agoContributor-Level 10
Let A (-1, 0, 1) and B (-2, 0, 0) direction ratios of AB = -1, 0, -1
lines are coplanar
Taking an Exam? Selecting a College?
Get authentic answers from experts, students and alumni that you won't find anywhere else
Sign Up on ShikshaOn Shiksha, get access to
- 66k Colleges
- 1.2k Exams
- 681k Reviews
- 1800k Answers





