Maths Binomial Theorem
Get insights from 93 questions on Maths Binomial Theorem, answered by students, alumni, and experts. You may also ask and answer any question you like about Maths Binomial Theorem
Follow Ask QuestionQuestions
Discussions
Active Users
Followers
New answer posted
3 months agoContributor-Level 10

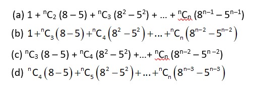
Similarly, b = nC2 + nC3![]()
![]()
a - b = nC3 (8 – 5) + nC4 (82 – 52) +….
New answer posted
3 months agoContributor-Level 9
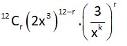
gen term = 
For constant term
36 – 3r – rk = 0
for r = 1, 2, 4

Possible values of k = 3, 1
New answer posted
3 months agoContributor-Level 10
= 15Cr
Coefficient of x-1 -> r = 10 ->m = 15C10
now mn2 = 15Cr

r = 5
New answer posted
3 months agoNew answer posted
3 months agoContributor-Level 10
log x = t
(t² - 1/t)¹²
T? = ¹²C? (t²)¹²? (-1/t)? = ¹²C? t²? ³? (-1)?
For constant term r = 8 & coefficient ¹²C?
= (12*11*10*9) / 24 = 45*11 = 495
Taking an Exam? Selecting a College?
Get authentic answers from experts, students and alumni that you won't find anywhere else
Sign Up on ShikshaOn Shiksha, get access to
- 66k Colleges
- 1.2k Exams
- 681k Reviews
- 1800k Answers


