Maths Binomial Theorem
Get insights from 93 questions on Maths Binomial Theorem, answered by students, alumni, and experts. You may also ask and answer any question you like about Maths Binomial Theorem
Follow Ask QuestionQuestions
Discussions
Active Users
Followers
New answer posted
4 months agoIf the coefficient of a7b8 in the expansion of (a + 2b + 4ab)10 is K.216, then K is equal to ______.
New answer posted
5 months agoContributor-Level 10
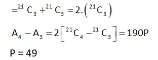
= coefficient of x4 in (1 + x)21 + coefficient of x4 in (1 + x)21
= coefficient of x3 in (1 + x)21 + coefficient of x3 in (1 + x)21
Taking an Exam? Selecting a College?
Get authentic answers from experts, students and alumni that you won't find anywhere else
Sign Up on ShikshaOn Shiksha, get access to
- 66k Colleges
- 1.2k Exams
- 681k Reviews
- 1800k Answers








