Maths Continuity and Differentiability
Get insights from 53 questions on Maths Continuity and Differentiability, answered by students, alumni, and experts. You may also ask and answer any question you like about Maths Continuity and Differentiability
Follow Ask QuestionQuestions
Discussions
Active Users
Followers
New answer posted
8 months agoContributor-Level 10
h' (x) = f' (x) – 2f (x).f' (x) + 3 (f (x)².f' (x)
= f' (x)/3 (f (x) - 1/3)² + 2/9)
∴ h' (x) ≥ 0 ⇔ f' (x) ≥ 0
New answer posted
8 months agoContributor-Level 10
g (x) = (f (nf (x) – n)?
g' (x) = n (f (nf (x) – n)? ¹ . f' (nf (x) – n) . n . f' (x)
∴ g' (0) = 0
⇒ 4 = n (f (nf (0) – n)? ¹ . f' (nf (0) – n) . nf' (0)
⇒ 4 = n (f (0)? ¹ . f' (0) . nf' (0)
⇒ 4 = n . 1 . (-1) . n (-1)
n² = 4
⇒ n = 2
New answer posted
8 months agoContributor-Level 10
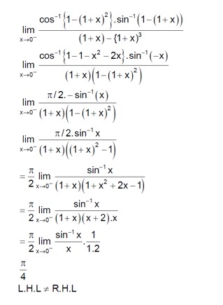
f (x)= {sinx, 0? x /2; 1? /2? x? 2+cosx, x>? }
f' (x)= {cosx, 0
New answer posted
8 months agoContributor-Level 10
The function f (x) is non-differentiable at x=1, 3, 5.
Σ f (f (x) = f (f (1) + f (f (3) + f (f (5).
Assuming f (x) is defined such that f (1)=1, f (3)=1, f (5)=1 (based on context of absolute value functions).
Then Σ f (f (x) = f (1) + f (1) + f (1) = 1 + 1 + 1 = 3.
New answer posted
8 months agoContributor-Level 9
Given f (g (x) is defined piecewise:
f (g (x) =
x³ + 2 ; x < 0
x? ; 0? x < 1
(3x - 2)² ; x? 1
fog (x) is discontinuous at x = 0.? non differentiable.
fog (x) is not differentiable at x = 0.
New answer posted
8 months agoContributor-Level 10
f (x) = {x+a, if x<0; |x-1|, if x0}
g (x) = {x+1, if x<0; (x-1)+b, if x0}
g (f (x) must be continuous. The potential points of discontinuity are where the definitions of f (x) and g (f (x) change. This is at x=0 and where f (x)=0.
f (x)=0 when x=-a (if a>0) or when x=1.
Continuity at x = 0:
lim (x→0? ) g (f (x) = lim (x→0? ) g (x+a). Since a could be anything, let's analyze f (0? )=a. So, lim is g (a).
lim (x→0? ) g (f (x) = g (f (0? ) = g (|0-1|) = g (1). Since 1≥0, g (1) = (1-1)²+b = b.
g (f (0) = g (|0-1|) = g (1) = b.
So we need g (a) = b.
Case 1: a < 0. g (a) = a+1. So a+1=b.
Case 2: a ≥ 0. g (a) = (a-1)²+b. So (a-1)²+b=b => (a-1)²=0 => a=1.
Now consider continuity at x=-a (assuming a>0).
l
Taking an Exam? Selecting a College?
Get authentic answers from experts, students and alumni that you won't find anywhere else
Sign Up on ShikshaOn Shiksha, get access to
- 66k Colleges
- 1.2k Exams
- 690k Reviews
- 1850k Answers






