Maths NCERT Exemplar Solutions Class 12th Chapter One
Get insights from 126 questions on Maths NCERT Exemplar Solutions Class 12th Chapter One, answered by students, alumni, and experts. You may also ask and answer any question you like about Maths NCERT Exemplar Solutions Class 12th Chapter One
Follow Ask QuestionQuestions
Discussions
Active Users
Followers
New answer posted
9 months agoContributor-Level 10
This is a Objective Type Question as classified in NCERT Exemplar
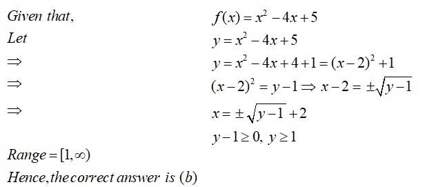
Sol:
New answer posted
9 months agoContributor-Level 10
This is a Objective Type Question as classified in NCERT Exemplar
Sol:
New answer posted
9 months agoContributor-Level 10
This is a Objective Type Question as classified in NCERT Exemplar
Sol:
New answer posted
9 months agoContributor-Level 10
This is a Objective Type Question as classified in NCERT Exemplar
Sol:

New answer posted
9 months agoContributor-Level 10
This is a Objective Type Question as classified in NCERT Exemplar
Sol:
New answer posted
9 months agoContributor-Level 10
This is a Objective Type Question as classified in NCERT Exemplar
Sol:
New answer posted
9 months agoContributor-Level 10
This is a Objective Type Question as classified in NCERT Exemplar
Sol:

New answer posted
9 months agoContributor-Level 10
This is a Objective Type Question as classified in NCERT Exemplar
Sol:

New answer posted
9 months agoContributor-Level 10
This is a Objective Type Question as classified in NCERT Exemplar
Sol:
New answer posted
9 months agoContributor-Level 10
This is a Objective Type Question as classified in NCERT Exemplar
Sol:
Taking an Exam? Selecting a College?
Get authentic answers from experts, students and alumni that you won't find anywhere else
Sign Up on ShikshaOn Shiksha, get access to
- 66k Colleges
- 1.2k Exams
- 688k Reviews
- 1850k Answers

