Maths NCERT Exemplar Solutions Class 12th Chapter One
Get insights from 126 questions on Maths NCERT Exemplar Solutions Class 12th Chapter One, answered by students, alumni, and experts. You may also ask and answer any question you like about Maths NCERT Exemplar Solutions Class 12th Chapter One
Follow Ask QuestionQuestions
Discussions
Active Users
Followers
New answer posted
8 months agoContributor-Level 10
f (3x)- f (x) = x
Replace
Again replace
Also putting x = in f (3x) – 3 = F (14) – 3 = 7 f (14) = 10
New answer posted
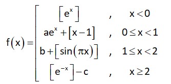
8 months agoContributor-Level 10
For x < 0 0 < ex < 1 [ex] = 0
= a ex – 1 b + [sin px]
For f to be continuous at x = 0
a – 1 = 0 ⇒ a = 1
New answer posted
8 months agoContributor-Level 10
for n = 2, 4, 6 ……
f (n) = 4, 8, 12, ….4 (n) form
for n = 3, 7, 11, 15, ….
f (n) = 1, 3, 5, 7, …. (4n + 1) or, (4n + 3) from
f is one and onto.
New answer posted
9 months agoContributor-Level 10
T = {9, 10, 11, 12, …., 1000}
S = {4, 6, 9}
A =
Let 4 appear x no. of times
6 appear y no. of times
9 appear z no. of times
10 then set A has n element 4x + 6y + 9z
Concept : Let a and b are co-prime numbers, then members from (a - ) (b – 1) and more can be expressed in the form ax + by where x, y {0, 1, 2, …}
So, all the number of the form
2y + 3z are (2 1). (3 – 1), ….
i.e., 6, 7, 8, 9, 10, 11, ….
form : 2 + t, t = 0, 1, 2, 3, ….
So, 6y + 9z = 3 (2y + 3z) = 3 (2 + t) = 6 + 3t, t = 0, 1, 2, 3, …
sum of element of T – A is 11
Taking an Exam? Selecting a College?
Get authentic answers from experts, students and alumni that you won't find anywhere else
Sign Up on ShikshaOn Shiksha, get access to
- 66k Colleges
- 1.2k Exams
- 688k Reviews
- 1850k Answers


