Overview
Get insights from 152 questions on Overview, answered by students, alumni, and experts. You may also ask and answer any question you like about Overview
Follow Ask QuestionQuestions
Discussions
Active Users
Followers
New answer posted
7 months agoContributor-Level 10
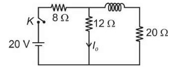
Since Gand S are in parallel
-> VG = VS
->3mA * 10 = 8A * RS
->RS = 3.75mW
New answer posted
7 months agoContributor-Level 10
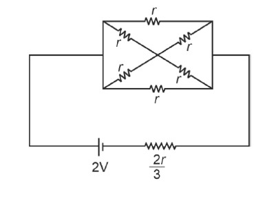
Equivalent circuit
(VP– VQ) = 0.9 * 6 – 0.9 * 2
VC = 3.6V
U =
= 25.92mJ
Taking an Exam? Selecting a College?
Get authentic answers from experts, students and alumni that you won't find anywhere else
Sign Up on ShikshaOn Shiksha, get access to
- 66k Colleges
- 1.2k Exams
- 690k Reviews
- 1850k Answers














