Physics Alternating Current
Get insights from 90 questions on Physics Alternating Current, answered by students, alumni, and experts. You may also ask and answer any question you like about Physics Alternating Current
Follow Ask QuestionQuestions
Discussions
Active Users
Followers
New answer posted
2 months agoContributor-Level 10
In damped oscillation
In the circuit
Comparing equation (i) and (ii)
New answer posted
2 months agoContributor-Level 10
Voltage across secondary source
P = V? i? = V? i?
V? = P/i? = 60/0.11 ≈ 545 V
Since voltage across secondary source is more than primary source (220V)
⇒ Step- up transformer.
New question posted
3 months agoNew answer posted
3 months agoContributor-Level 10
ω = 2πf = 1/√ (LC)
L = 1/ (4π²f²C) = 1/ (4π² * 60² * 0.1*10? ) = 70.3 mH
New answer posted
3 months agoContributor-Level 10
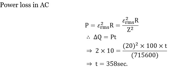
Power dissipated is same
P? = P?
P_R = P_RLC
(V²/R) = (V²/Z)cos (φ) = (V²/Z) (R/Z) = V²R/Z²
R = R²/Z² => Z² = R²
R² + (ωL - 1/ωC)² = R²
ωL = 1/ωC
ω = 1/√ (LC) = 1/√ (0.1 * 40 * 10? ) = 1/√ (4 * 10? ) = 1/ (2 * 10? ³) = 500 rad/s
Taking an Exam? Selecting a College?
Get authentic answers from experts, students and alumni that you won't find anywhere else
Sign Up on ShikshaOn Shiksha, get access to
- 65k Colleges
- 1.2k Exams
- 679k Reviews
- 1800k Answers







