physics ncert exemplar solution class 12th chapter one
Get insights from 72 questions on physics ncert exemplar solution class 12th chapter one, answered by students, alumni, and experts. You may also ask and answer any question you like about physics ncert exemplar solution class 12th chapter one
Follow Ask QuestionQuestions
Discussions
Active Users
Followers
New answer posted
11 months agoContributor-Level 10
This is a Short Answer Type Questions as classified in NCERT Exemplar
Explanation- Electric flux through a dipole is always zero, because the positive and negative charges cancel each other out
New answer posted
11 months agoContributor-Level 10
This is a Long Answer Type Questions as classified in NCERT Exemplar
Explanation- electric field at the axis of the ring is E=KQy/ (R2+z2)3/2 where z is distance .

F=qE=KQqy/ (R2+z2)3/2
When z<
F= = -Kz
So force is directly proportional to – distance that is completely defined that is follows S.H.M
(b)w=
T=2 w=2
T=2
New answer posted
11 months agoContributor-Level 10
Explanation- two charge -q at A and B
AB=AO+OB=2d and x= small distance perpendicular to O

When x
F=qq/4 where AP=BP=r but horizontal components gets cancel out each other and vertical components gets add .
If angle APO=O the net force on q along PO is F'= 2Fcos
= =
When x
K= ,F
Force on charge q is proportional to its displacement from the center O and it is directed towards O
Hence we can say that motion of charge would be simple harmonic
Where w= and T=
T= 2 = 2 = [8π3?o md3/q2]1/2
New answer posted
11 months agoContributor-Level 10
This is a Long Answer Type Questions as classified in NCERT Exemplar
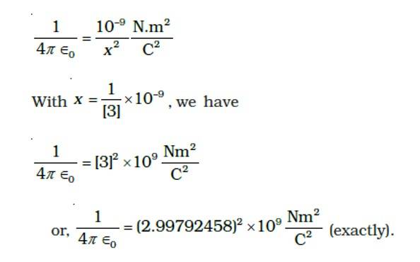
Explanation- as we know F= Qq/r2= 1dyne = 1esu of charge2/1cm2
1 esu of charge = M1/2L3/2T—1
- Q=xC where x is dimensionless quantity
So F= =1 dyne = 10-5N
Taking x= 1/3 9
After solving we get 1/4
New answer posted
11 months agoContributor-Level 10
This is a Long Answer Type Questions as classified in NCERT Exemplar
Explanation- net electric field at plate γ due to two other plate
From plate 1 ,E1=
From plate 2 ,E2=
Total electric field E= E1 + E2 = to the left , if Q>q
electric field at o due to plate α =
electric field at o due to plate β =
electric field at o due to plate γ =
as the electric field at o is zero therefore
As there is no loss of charge on collision
Q+q=
On solving these
q1= (Q+q/2)= charge on plate β
q2= (q/2)= charge on plate γ
New answer posted
11 months agoContributor-Level 10
This is a Long Answer Type Questions as classified in NCERT Exemplar
Explanation-
(i) when r
= and we know that V =
= 4
=
E(4 ) = = so it is clear that E is radially outwards.
When r>R
=
E= again field is outwards
(ii) When two protons are there then they must be on opposite sides or we can say along the end of diameter
So q=
.q= 4
If protons 1 and 2 are embedded at distance r from the center of the sphere then force will be
F=eE=- but the force applied by proton F=
By adding these F= -
If F=0 then &nbs
New answer posted
11 months agoContributor-Level 10
This is a Long Answer Type Questions as classified in NCERT Exemplar
Explanation- let us consider that universe is of radius R
And we know that hydrogen is made up one electron and proton so net charge is
-(1+y)e+e = -ye
Now the number of hydrogen atom in the universe = N
So total charge is = -ye N
&n
New answer posted
11 months agoContributor-Level 10
This is a Long Answer Type Questions as classified in NCERT Exemplar
Explanation- (a)
(i) The electric field at the center of pentagon is zero because the distance from the center is same.
(ii) The field through one charge is Kq/r2
(iii) When one charge is positive and other is negative then net force towards negative charge. So net force is Kq/r2+ Kq/r2= 2Kq/r2
(b) It doesn't depend upon the number of sides increasing the net electric field is zero.
New question posted
11 months agoNew answer posted
11 months agoContributor-Level 10
If one solves all these questions then it is great but it is not something mandatory. Practicing these questions helps students develop a strong understanding of Coulomb's law, electric charges, the superposition principle, and electric field lines. Even practicing a significant portion helps in boosting exam confidence and helps students to score high in the examination.
Taking an Exam? Selecting a College?
Get authentic answers from experts, students and alumni that you won't find anywhere else
Sign Up on ShikshaOn Shiksha, get access to
- 66k Colleges
- 1.2k Exams
- 691k Reviews
- 1850k Answers




