Straight Lines
Get insights from 177 questions on Straight Lines, answered by students, alumni, and experts. You may also ask and answer any question you like about Straight Lines
Follow Ask QuestionQuestions
Discussions
Active Users
Followers
New answer posted
4 months agoContributor-Level 10
23.
Let RM be the median draw from vertex R so that M is the mid-point of line segment PQ. Then,

= (0, 2)
So equation of line passing through R (4, 5) and M (0, 2) is
New answer posted
4 months agoContributor-Level 10
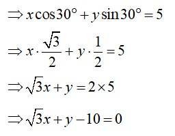
23.
Given P = 5 and W = 30°
Using normal form, equation of line is
x cos W + y sin W = P

New answer posted
4 months agoContributor-Level 10
21
.Here (x1, y1) = (–1, 1) and (x2, y2) = (2, –4)
Using two point form, equation of line is
New answer posted
4 months agoContributor-Level 10
20.
The slope of the line is m = tan 30° =
And x-intercept, c = 2
Using slope intercept form, equation of line is
New answer posted
4 months agoContributor-Level 10
19.
Given m = –2
x-intercept, d = –3
Using slope intercept form, equation of line is
y = m (x – d)
New answer posted
4 months agoNew answer posted
4 months agoContributor-Level 10
17.
Given slope = m and
By point slope from, equation of line is
New answer posted
4 months agoContributor-Level 10
Exercise 9.2
15.
For any points on x-axis the y-co-ordinate or the ordinate is always 0. Hence, the x-axis have the equation y = 0.
Similarly for xy points on y-axis the x-co-ordinate or the abscissa is always 0. Hence, the y-axis have the equation x = 0.
New answer posted
4 months agoContributor-Level 10
14.
From figure,
Slope of AB =
As, A, B and C lie on same line
Slope of AB = Slope of BC
Hence, population in 2010 will be 104.5 crores.
Taking an Exam? Selecting a College?
Get authentic answers from experts, students and alumni that you won't find anywhere else
Sign Up on ShikshaOn Shiksha, get access to
- 65k Colleges
- 1.2k Exams
- 687k Reviews
- 1800k Answers