Straight Lines
Get insights from 177 questions on Straight Lines, answered by students, alumni, and experts. You may also ask and answer any question you like about Straight Lines
Follow Ask QuestionQuestions
Discussions
Active Users
Followers
New answer posted
11 months agoContributor-Level 10
11.
Let the two slopes be m and 2m. And if θ is the angle between the two lines.
Case I. When
Case II. When
Hence,
The possible slopes of the two lines (m, 2m) are (1, 2), and
New answer posted
11 months agoContributor-Level 10
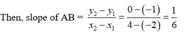
10.
Slope of line joining points A (3, –1) and B (4, –2) is
As slope of AB is the angle made by the line-segment AB w.r.t. x-axis, the angle between them is and is given by
New answer posted
11 months agoContributor-Level 10
9.
Let A (–2, –1), B (4, 0), C (3, 3) and D (–3, 2) be the given points.


Slope of DC =
As slope of AB = slope of DC
We conclude that AB | | DC.
Similarly, slope of BC =
Slope of AD =
As slope of BC = slope of AD we conclude that BC | | AD.
Hence, as the pair of opposite sides of ABCD are parallel we can conclude that the given points are the vertices of a parallelogram.
New answer posted
11 months agoContributor-Level 10
8. Let P (x, –1), Q (2, 1) and R (4, 5) be the collinear points. Then,
Slope of PQ = Slope of QR
New answer posted
11 months agoContributor-Level 10
7.
Let l be the line making 30° with y-axis as shown in figure. Then,
Angle a = + 90° (Sum of exterior angle of a triangle)
( vertically opposite angle)
So, slope of line l = tan a
= m = tan 120°
= tan (180° – 60°)
= –tan 60°
New answer posted
11 months agoContributor-Level 10
6.
. Let the given point be A (4, 4), B (3, 5) and C (–1, –1)
Then, slope of AB, m1 =
Slope of AC, m2 =
And slope of BC, m3 =
As m1 – m2 = –1 * 1 = –1
We conclude that AB and AC are perpendicular to each other.
Hence, ABC is a right-angle triangle right-angled at A
New answer posted
11 months agoContributor-Level 10
5.
Let 0 (0, 0) be the origin and A be the mid-point of line joining P (0, –4) and B (8, 0)
Then, co-ordinate of A =
Slope of OA, m =
New answer posted
11 months agoContributor-Level 10
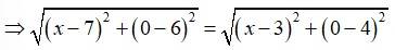
4.
Let A (x, 0) be the point on x-axis when is equidistant from P (7, 6) and Q (3, 4)
Then, PA = QA

Squaring both sides, we get,
The required point on x-axis is
New question posted
11 months agoTaking an Exam? Selecting a College?
Get authentic answers from experts, students and alumni that you won't find anywhere else
Sign Up on ShikshaOn Shiksha, get access to
- 66k Colleges
- 1.2k Exams
- 688k Reviews
- 1850k Answers





