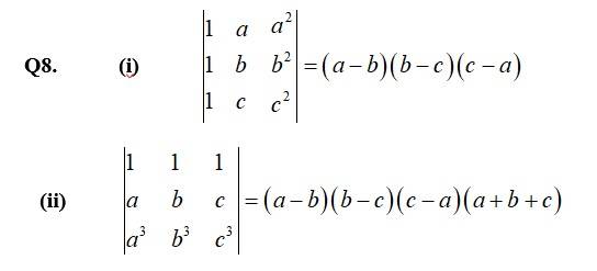
Determinants
Get insights from 194 questions on Determinants, answered by students, alumni, and experts. You may also ask and answer any question you like about Determinants
Follow Ask QuestionQuestions
Discussions
Active Users
Followers
New answer posted
7 months agoContributor-Level 10

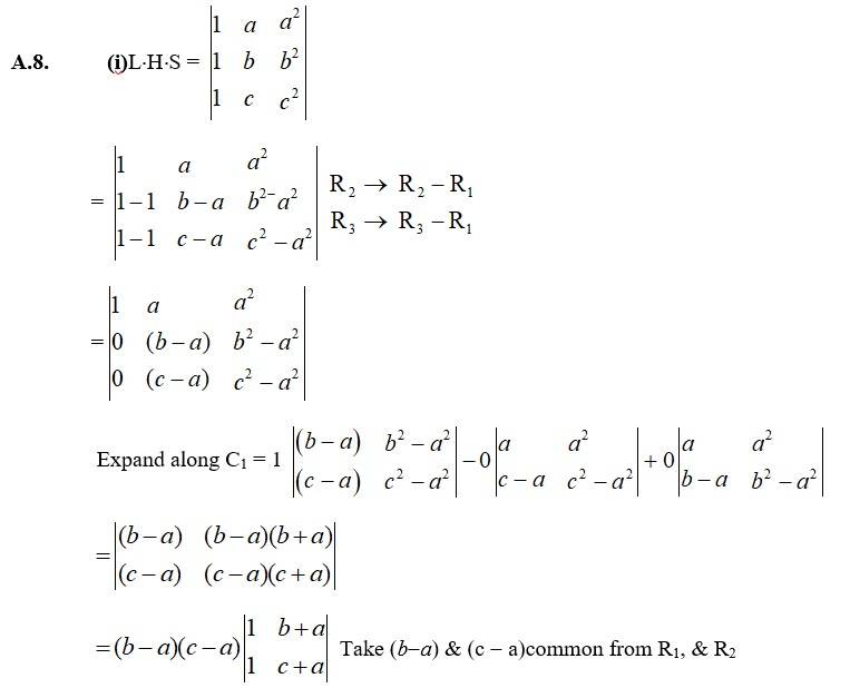
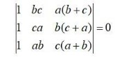
=(b-a)(c-a)[(c+a)-(b+a)]
=(b-a)(c-a)[(c+a – b – a)]
=(b-a)(c-a)(c-b)
=(-1)(a-b) *(-1)(b-c)(c-a)
=(a-b)(b-c)(c-a).
= R.H.S.

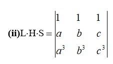
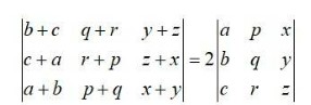
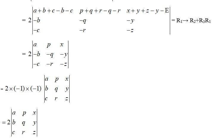
=
Expanding along R1
=
= (ba)(ca)
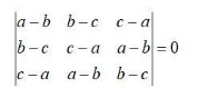
= (b-a)(c-a) {(c2 + a2 + ab)- (b2 + a2 + ab)}
= (b-a) (c -a) {c2 + a2 + ab-b2-a2-ab}
= (b-a) (c-a)(c2-b2 + ac-ab)
= (b-a)(c-a)(c-b)(c + b) + (c-b) a}
= (b-a)(c-a)(c-b)(a + c + b).
= (- 1)(a-b)(c-a)(- 1)(b-c)(a + c + b)
= (a-b)(b-c)(c-a)(a + c + b)
= R.H.S.
New answer posted
7 months agoContributor-Level 10
Kindly go through the solution

=a2b2c2* (−2)
= a2b2c2* (−2)* (−2)
= 4a2b2c2
= R.H.S.
New answer posted
7 months agoContributor-Level 10

= 1 [1* (−9) – 4* (−3)]–1 [2* (–9)–5* (– 3)]– 2 [2*4 −5*1]
= 1 [− 9 + 12] −1 [− 18+15] − 2 [8 − 5]
= 3 + 3 −6
= 0
Taking an Exam? Selecting a College?
Get authentic answers from experts, students and alumni that you won't find anywhere else
Sign Up on ShikshaOn Shiksha, get access to
- 66k Colleges
- 1.2k Exams
- 681k Reviews
- 1800k Answers














, then x is equal to


,find | A |