Probability
Get insights from 306 questions on Probability, answered by students, alumni, and experts. You may also ask and answer any question you like about Probability
Follow Ask QuestionQuestions
Discussions
Active Users
Followers
New answer posted
7 months agoContributor-Level 10
70. Let X represent the number of bulbs that will fuse after 150 days of use in an experiment of 5 trials. The trials are Bernoulli trials.
It is given that, p = 0.05
X has a binomial distribution with n=5 and

(ii) P (not more than one)
(iii) P (more than 1)
(not more than 1)
(iv) P (at least one)
New answer posted
7 months agoContributor-Level 10
69. Let X represent the number of spade cards among the five cards drawn. Since the drawing of card is with replacement, the trials are Bernoulli trials.
In a well shuffled deck of 52 cards, there are 13 spade cards.
X has a binomial distribution with n=5 and

P (all five cards are spades)
(ii) P (only 3 cards are spades)
(ii) P (none is a spades)
New answer posted
7 months agoContributor-Level 10
68. Let X denote the number of defective items in a sample of 10 items drawn successively. Since the drawing is done with replacement, the trials are Bernoulli trials.
X has a binomial distribution with n=10 and

P (not more than 1 defective item)
New answer posted
7 months agoContributor-Level 10
67. The repeated tosses of a pair of dice are Bernoulli trials. Let X denote the number of times of getting doublets in an experiment of throwing two dice simultaneously four times.
Probability of getting doublets in a single throw of the pair of dice is
Clearly, X has the binomial distribution with n=4, , and
, where
(2 successes)
New answer posted
7 months agoContributor-Level 10
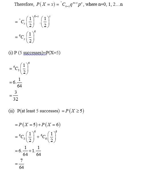
66. The repeated tosses of a die are Bernoulli trials. Let X denote the number of successes of getting odd numbers in an experiment of 6 trials.
Probability of getting an odd number in a single throw of a die is, p - 3/6 = 1/2
q = 1 - p = 1/2
X has a binomial distribution.

P (at most 5 successes)
New answer posted
7 months agoContributor-Level 10
66. Let X denote the number of aces obtained. Therefore, X can take any of the values of 0, 1, or 2.
In a deck of 52 cards, 4 cards are aces. Therefore, there are 48 non-ace cards.

X | 0 | 1 | 2 |
P (X) | 1128/1326 | 192/1326 | 6/1326 |
Therefore, option D is correct
New answer posted
7 months agoContributor-Level 10
65. Let X be the random variable representing a number on the die.
The total number of observations is six.
Therefore, the probability distribution is as follows.
X | 1 | 2 | 5 |
P (X) | 1/2 | 1/3 | 1/6 |
Therefore, option (B) is correct.
New answer posted
7 months agoContributor-Level 10
64. It is given that P (X = 0) = 30% = 30/100 = 0.3
P (X = 1) = 70% = 70/100 = 0.7
Therefore, the probability distribution is as follows.
X | 0 | 1 |
P (X) | 0.3 | 0.7 |
It is know that,
= 0.7 − (0.7)2
= 0.7 − 0.49
= 0.21
New answer posted
7 months agoContributor-Level 10
63. There are 15 students in the class. Each student has the same chance to be chosen. Therefore, the probability of each student to be selected is 1/15.
The given information can be compiled in the frequency table as follows.
14 | 15 | 16 | 17 | 18 | 19 | 20 | 21 |
2 | 1 | 2 | 3 | 1 | 2 | 3 | 1 |
P(X = 14) =2/15, P(X = 15) =1/15, P(X = 16) =2/15, P(X = 16) =3/15,
P(X = 18) =115, P(X = 19) =2/15, P(X = 20) =3/15, P(X = 21) =1/15
Therefore, the probability distribution of random variable X is as follows.
X | 14 | 15 | 16 | 17 | 18 | 19 | 20 | 21 |
f | 2/15 | 1/15 | 2/15 | 3/15 | 1/15 | 2/15 | 3/15 | 1/15 |
Then, mean of X = E(X)
Standard derivation
New answer posted
7 months agoContributor-Level 10
62. When two fair dice are rolled, 6 * 6 = 36 observations are obtained.
P(X = 2) = P(1, 1) = 1/36
P(X = 3) = P (1, 2) + P(2, 1) = 2/36 = 1/18
P(X = 4) = P(1, 3) + P(2, 2) + P(3, 1) = 3/36 = 1/12
P(X = 5) = P(1, 4) + P(2, 3) + P(3, 2) + P(4, 1) = 4/36 = 1/9
P(X = 6) = P(1, 5) + P (2, 4) + P(3, 3) + P(4, 2) + P(5, 1) = 5/36
P(X = 7) = P(1, 6) + P(2, 5) + P(3, 4) + P(4, 3) + P(5, 2) + P(6, 1) = 6/36 = 1/6
P(X = 8) = P(2, 6) + P(3, 5) + P(4, 4) + P(5, 3) + P(6, 2) = 5/36
P(X = 9) = P(3, 6) + P(4, 5) + P(5, 4) + P(6, 3) = 4/36 = 1/9
P(X = 10) = P(4, 6) + P(5, 5) + P(6, 4) = 3/36 = 1/12
P(X = 11) = P(5, 6) + P(6, 5) = 2/36 = 1/18
P(X = 12) = P(6,
Taking an Exam? Selecting a College?
Get authentic answers from experts, students and alumni that you won't find anywhere else
Sign Up on ShikshaOn Shiksha, get access to
- 66k Colleges
- 1.2k Exams
- 681k Reviews
- 1800k Answers
