Three Dimensional Geometry
Get insights from 212 questions on Three Dimensional Geometry, answered by students, alumni, and experts. You may also ask and answer any question you like about Three Dimensional Geometry
Follow Ask QuestionQuestions
Discussions
Active Users
Followers
New answer posted
5 months agoContributor-Level 10
(a) The equation of the plane is
The direction ratios of normal are
Dividing both sides of equation (1) by 1, we obtain
This is of the form , where l, m, n are the direction cosines of normal to the plane and d is the distance of the perpendicular drawn from the origin.
Therefore, the direction cosines are 0, 0, and 1 and the distance of the plane from the origin is 2 units.
(b)
The direction ratios of normal are 1, 1, and 1.
Dividing both sides of equation (1) by , we obtain
This equation is of the form , where l, m, n
New answer posted
5 months agoNew answer posted
5 months agoContributor-Level 10
Shortest distance between two lines is given by,

Then,


New answer posted
5 months agoContributor-Level 10
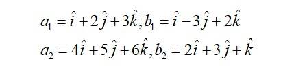
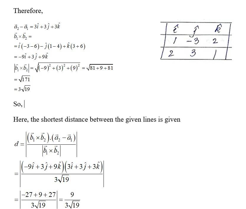
Solution. Comparing (1) and (2) with and respectively.
We get,
Therefore,

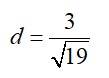
Hence, the shortest distance between the given line is given by
New answer posted
5 months agoContributor-Level 10
Direction ratios of given lines are (7, -5,1) and (1,2,3).
i.e.,
Now,
These two lines are perpendicular to each other.
New answer posted
5 months agoContributor-Level 10
The standard form of a pair of Cartesian lines is;
So,
Comparing (1) and (2) we get
Now, both the lines are at right angles
So,
The value of is
New answer posted
5 months agoContributor-Level 10
(i) Let and be the vectors parallel to the pair of lines, , respectively.

New answer posted
5 months agoContributor-Level 10
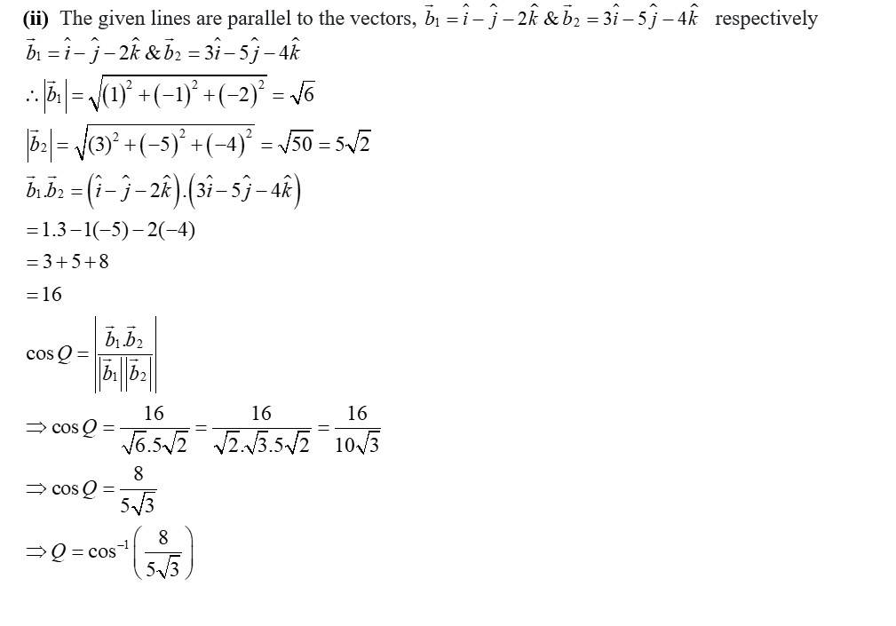
(i) Let Q be the angle between the given lines.
The angle between the given pairs of lines is given by,
The given lines are parallel to the vectors, , respectively.

New answer posted
5 months agoContributor-Level 10
Let the line passing through the points, P (3, −2, −5) and Q (3, −2, 6), be PQ.
Since PQ passes through P (3, −2, −5), its position vector is given by,
The direction ratios of PQ are given by,
The equation of the vector in the direction of PQ is
The equation of PQ in vector form is given by,
The equation of PQ in Cartesian form is
i.e,
Taking an Exam? Selecting a College?
Get authentic answers from experts, students and alumni that you won't find anywhere else
Sign Up on ShikshaOn Shiksha, get access to
- 65k Colleges
- 1.2k Exams
- 679k Reviews
- 1800k Answers




