Three Dimensional Geometry
Get insights from 212 questions on Three Dimensional Geometry, answered by students, alumni, and experts. You may also ask and answer any question you like about Three Dimensional Geometry
Follow Ask QuestionQuestions
Discussions
Active Users
Followers
New answer posted
5 months agoContributor-Level 10
The required line passes through the origin. Therefore, its position vector is given by,
The direction ratios of the line through origin and are
The line is parallel to the vector given by the equation,
The equation of the line in vector form through a point with position vector and parallel to is,
The equation of the line through the point and direction ratios is given by,
Therefore, the equation of the required line in the Cartesian form is
New answer posted
5 months agoContributor-Level 10
Given,
Cartesian equation,
The given line passes through the point
i.e. position vector of
Direction ratio are 3, 7 and 2.
Thus, the required line passes through the point and is parallel to the vector .
Let be the position vector of any point on the line, then the vector equation of the line is given by,
New answer posted
5 months agoContributor-Level 10
Given,
The point .
The Cartesian equation of a line through a point and having direction ratios a, b, c is
Now, given that
is parallel
to point
Here, the point is and the direction ratio is given by
The required Cartesian equation is
New answer posted
5 months agoContributor-Level 10
The line passes through the point with position vector,
The given vector:
The line which passes through a point with position vector and parallel to is given by,
This is required equation of the line in vector form.
Now,
Let
Comparing the coefficient to eliminate ,
New answer posted
5 months agoContributor-Level 10
Given,
The line passes through the point .
Position vector of A,
Let
The line which passes through point and parallel to is given by,
, where is constant
New answer posted
5 months agoContributor-Level 10
Let AB be the line through the point and and CD be line through the point and
Direction cosine, of AB are
Direction cosine, of CD are
AB will be parallel to CD only
If
Here,
Therefore, AB is parallel to CD.
New answer posted
5 months agoContributor-Level 10
Let AB be the line joining the points and and CD be the line joining the point and .
The direction ratios, a, b, c of AB are
The direction ratios of CD are
AB and CD will be perpendicular to each other, if
Therefore, AB and CD are perpendicular to each other.
New answer posted
5 months agoContributor-Level 10
Two lines with direction cosines l, m, n and l2, m2, n2 are perpendicular to each other, if .
Now, for the 3 lines with direction cosine,
Hence, the lines are perpendicular.
For lines with direction cosines,
Hence, these lines are perpendicular.
For the lines with direction cosines,
Hence, these lines are perpendicular.
Therefore, all the lines are perpendicular.
New answer posted
5 months agoContributor-Level 10
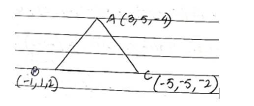
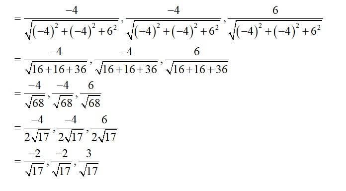
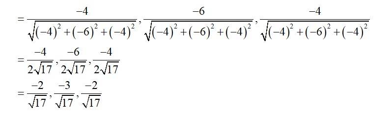
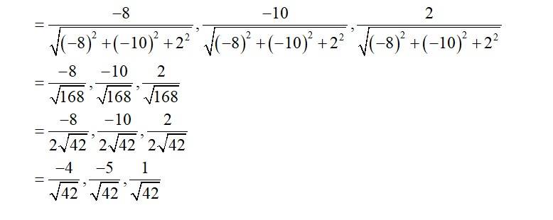
The vertices of ABC are A (3,5, -4), B (-1,1,2) and C (-5, -5, -2)

Direction cosine of AB,

Direction ratios of BC=
Direction cosine of BC = 
Direction of CA=
Direction cosine of CA = 
New answer posted
5 months agoContributor-Level 10
Given,
A (2,3,4), B (-1, -2,1), C (5,8,7)
Direction ratio of AB=
Where, a1=3, b1=-5, c1=-3
Direction ratio of BC=
Where, a2=6, b2=10, c2=6
Now,
Here, direction ratio of two-line segments are proportional.
So, A, B, C are collinear.
Taking an Exam? Selecting a College?
Get authentic answers from experts, students and alumni that you won't find anywhere else
Sign Up on ShikshaOn Shiksha, get access to
- 65k Colleges
- 1.2k Exams
- 679k Reviews
- 1800k Answers
