Three Dimensional Geometry
Get insights from 211 questions on Three Dimensional Geometry, answered by students, alumni, and experts. You may also ask and answer any question you like about Three Dimensional Geometry
Follow Ask QuestionQuestions
Discussions
Active Users
Followers
New answer posted
11 months agoContributor-Level 10
The line parallel to x-axis and passing through the origin is x-axis itself.
Let A be a point on x-axis. Therefore, the coordinates of A are given by Direction ratios of
The equation of OA is given by,
Thus, the equation of line parallel to x-axis and passing through origin is
New answer posted
11 months agoContributor-Level 10
It is given that are the direction cosines of two mutually perpendicular lines. Therefore,
Let be the direction cosines of the line which is perpendicular to the line with direction cosines
are the direction cosines of the line.
It is known that,
Substituting the values from equations (5) and (6) in equation (4), we obtain
Thus, the direction cosines of the required line are
New answer posted
11 months agoContributor-Level 10
Let OA be the line joining the origin, and the point,
Also, let BC be the line joining the points,
The direction ratios of
OA is perpendicular to
Thus, OA is perpendicular to BC.
New answer posted
11 months agoContributor-Level 10
The direction ratios of normal to the plane, , are and
The angle between is given by,

(b) The equations of the planes are
Thus, the given planes are perpendicular to each other.
(c) The equations of the given planes are
Here,
Thus, the given planes are not perpendicular to each other.
Thus, the given planes are parallel to each other
(d) The equations of the planes are and
Thus, the given lines are parallel to each other
(e) The equations of the given planes are
Therefore, the given lines are not perpendicular to each
New answer posted
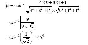
11 months agoContributor-Level 10
The equations of the given planes are
It is known that if n1 and n2 are normal to the planes, then the angle between them, Q, is given by,
Substituting the value of in equation (1), we obtain
New answer posted
11 months agoContributor-Level 10
The equation of the plane through the intersection of the planes, , is
The direction ratios, of this plane are
The plane in equation (1) is perpendicular to
Its direction ratios, are .
Since the planes are perpendicular,
Substituting in equation (1), we obtain
This is the required equation of the plane.
New answer posted
11 months agoContributor-Level 10
The equations of the planes are
The equation of any plane through the intersection of the planes given in equations (1) and (2) is given by,
The plane passes through the point (2, 1, 3). Therefore, its position vector is given by,
Substituting in equation (3), we obtain
Substituting in equation (3), we obtain
This is the vector equation of the required plane.
New answer posted
11 months agoContributor-Level 10
The equation of any plane through the intersection of the planes,
is
The plane passes through the point Therefore, this point will satisfy equation (1).
Substituting in equation (1), we obtain
New answer posted
11 months agoContributor-Level 10
The equation of the plane ZOX is
y = 0
Any plane parallel to it is of the form, y = a
Since the y-intercept of the plane is 3,
∴ a = 3
Thus, the equation of the required plane is y = 3
Taking an Exam? Selecting a College?
Get authentic answers from experts, students and alumni that you won't find anywhere else
Sign Up on ShikshaOn Shiksha, get access to
- 66k Colleges
- 1.2k Exams
- 690k Reviews
- 1850k Answers



