Aldehydes, Ketones and Carboxylic Acids
Get insights from 184 questions on Aldehydes, Ketones and Carboxylic Acids, answered by students, alumni, and experts. You may also ask and answer any question you like about Aldehydes, Ketones and Carboxylic Acids
Follow Ask QuestionQuestions
Discussions
Active Users
Followers
New answer posted
2 months agoContributor-Level 9
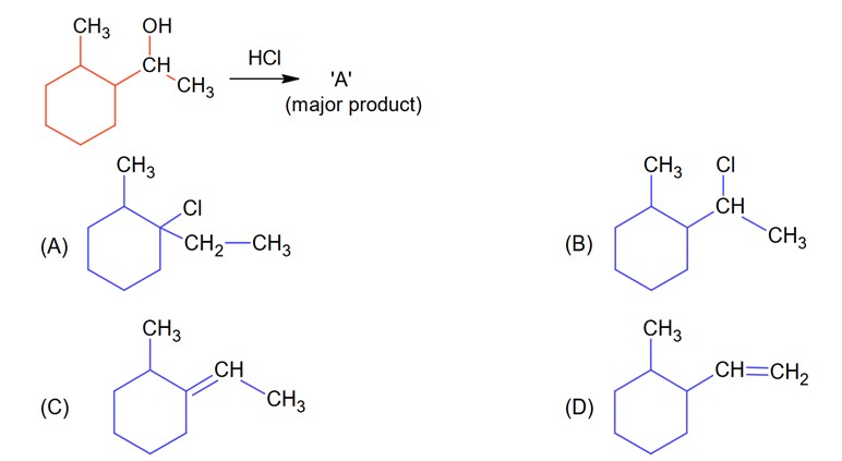
Base is tert-butoxide thus favours elimination with 3° alkyl halide and gives alkene
New answer posted
2 months agoContributor-Level 10
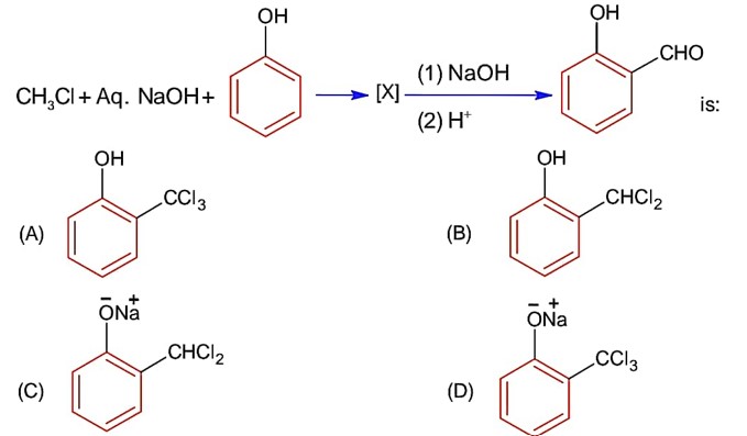
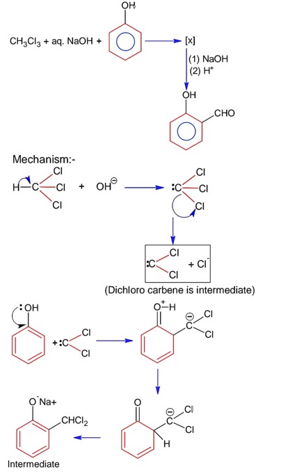
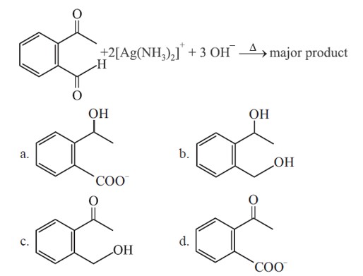
Tollen's reagent oxidises aldehydes into carboxylate ion whereas ketone is not oxidised by tollen's reagent.
New answer posted
2 months agoContributor-Level 10
CH? – CH? – COO? Na? - (NaOH, CaO, Heat)-> CH? – CH? + Na? CO?
Decarboxylation takes place by soda-lime (NaOH + CaO)
New answer posted
2 months agoContributor-Level 10
Teflon are prepared by addition polymerization from tetrafluroethene.
CF? = CF? - (catalyst, High pressure)-> [–CF? – CF? –]? Teflon
Nylon-66, Novolac, Dacron are prepared by condensation polymerisation.
New answer posted
2 months agoContributor-Level 10
π = iCRT
P? = 1 * (10/180) * R * T (For Glucose)
P? = 1 * (10/60) * R * T (For Urea)
P? = 1 * (10/342) * R * T (For Sucrose)
∴ P? > P? > P?
Taking an Exam? Selecting a College?
Get authentic answers from experts, students and alumni that you won't find anywhere else
Sign Up on ShikshaOn Shiksha, get access to
- 65k Colleges
- 1.2k Exams
- 679k Reviews
- 1800k Answers












