Aldehydes, Ketones and Carboxylic Acids
Get insights from 184 questions on Aldehydes, Ketones and Carboxylic Acids, answered by students, alumni, and experts. You may also ask and answer any question you like about Aldehydes, Ketones and Carboxylic Acids
Follow Ask QuestionQuestions
Discussions
Active Users
Followers
New answer posted
7 months agoContributor-Level 10
Cannizzaro reaction is shown by aldehydes containing no alpha–H atoms
New answer posted
7 months agoContributor-Level 10
The carbonyl compounds which contain at least two a-hydrogen will give aldol condensation.
New answer posted
7 months agoNew answer posted
7 months agoContributor-Level 10
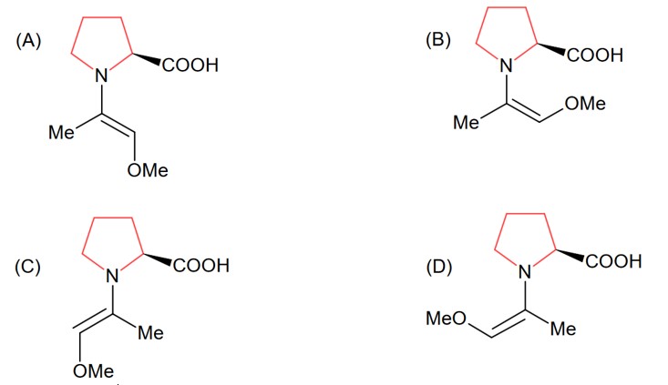
Enamines are inter conversible and have low stability with respect to imine. Among all C is most stable due to steric factor.
New answer posted
7 months agoContributor-Level 10
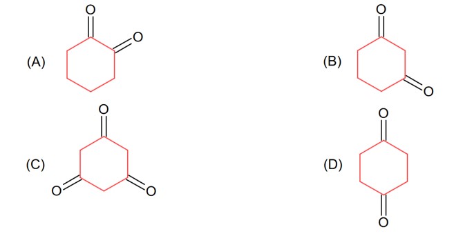
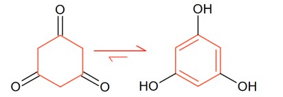
Aromaticity drives the highest enolic percentage of given structure:
Taking an Exam? Selecting a College?
Get authentic answers from experts, students and alumni that you won't find anywhere else
Sign Up on ShikshaOn Shiksha, get access to
- 66k Colleges
- 1.2k Exams
- 690k Reviews
- 1850k Answers










