Aldehydes, Ketones and Carboxylic Acids
Get insights from 184 questions on Aldehydes, Ketones and Carboxylic Acids, answered by students, alumni, and experts. You may also ask and answer any question you like about Aldehydes, Ketones and Carboxylic Acids
Follow Ask QuestionQuestions
Discussions
Active Users
Followers
New question posted
3 months agoNew answer posted
3 months agoContributor-Level 10
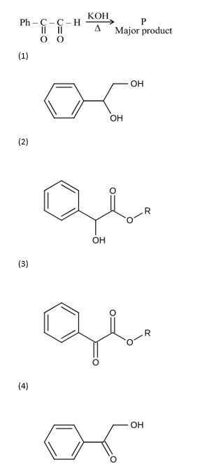
Conc. acts as dehydrating agent.
Molar mass of given complex .
On treating with conc. the mass
lost by the complex moles of
Formula of the complex
New question posted
3 months agoNew answer posted
3 months agoContributor-Level 9
(B) contains eight carbon atoms whereas the molecular formula C? H? O? contains ten carbon atoms.
Taking an Exam? Selecting a College?
Get authentic answers from experts, students and alumni that you won't find anywhere else
Sign Up on ShikshaOn Shiksha, get access to
- 65k Colleges
- 1.2k Exams
- 679k Reviews
- 1800k Answers





