Biomolecules
Get insights from 85 questions on Biomolecules, answered by students, alumni, and experts. You may also ask and answer any question you like about Biomolecules
Follow Ask QuestionQuestions
Discussions
Active Users
Followers
New answer posted
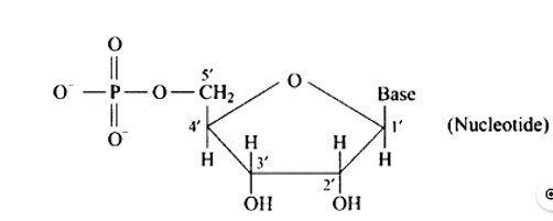
6 months agoContributor-Level 10
This is a Short Answer Type Questions as classified in NCERT Exemplar
The sugar moiety of a nucleoside is linked to a phosphoric acid unit, ideally at the 5? position, to form a nucleotide.
The structure is depicted in the diagram below.
New answer posted
6 months agoContributor-Level 10
This is a Short Answer Type Questions as classified in NCERT Exemplar
n-hexane is produced when glucose is cooked with HI for a lengthy amount of time. The reaction is depicted in the diagram below.
New answer posted
6 months agoContributor-Level 10
This is a Short Answer Type Questions as classified in NCERT Exemplar
Lactose sugar is a naturally occurring sugar found in milk. D galactose and D glucose, two monosaccharide molecules, are linked together. As a result, disaccharides are the name given to these oligosaccharides.
New answer posted
6 months agoContributor-Level 10
This is a Multiple Answer Type Questions as classified in NCERT Exemplar
Correct options are a and d.
Enzymes are protein molecules that operate as biocatalysts in the body, facilitating chemical processes. The pace of the reaction is accelerated by these catalysts.
New answer posted
6 months agoContributor-Level 10
This is a Multiple Answer Type Questions as classified in NCERT Exemplar
Correct options are a and b.
Purines are made up of a six-membered nitrogen-containing ring joined with a five-membered nitrogen-containing ring.
Purine bases are guanine and adenine, while pyrimidine bases are thymine and uracil.
Hence (a) and (b) are correct choices for this question.
New answer posted
6 months agoContributor-Level 10
This is a Multiple Answer Type Questions as classified in NCERT Exemplar
Correct options are b and d.
Fibrous protein is generated when the polypeptide chain runs parallel and is held together by hydrogen and disulphide bonds.
New answer posted
6 months agoContributor-Level 10
This is a Multiple Answer Type Questions as classified in NCERT Exemplar
Correct options are a and c.
The cyclic structure of ribose and fructose is five-membered (furanose structures). Like compound furans, they have a five-membered ring.
New answer posted
6 months agoLysine,
(a) α - Amino acid
(b) Basic amino acid
(c) Amino acid synthesized in body
(d) β- Amino acid
Contributor-Level 10
This is a Multiple Answer Type Questions as classified in NCERT Exemplar
Correct options are a, b and c.
Lysine is an amino acid with the structural formula of (a).
(b) Because the number of groups (two) is more than the number of -COOH groups (one), it is a basic amino acid (one).
Because it is created in human bodies, it is a non-essential amino acid.
New answer posted
6 months agoContributor-Level 10
This is a Multiple Answer Type Questions as classified in NCERT Exemplar
Correct options are b and d.
Acidic amino acids are divided into two groups, one -COOH group against the other - NH2 group. As a result, the acidic amino acids (b) and (d) are the only ones among the supplied structures.
New answer posted
6 months agoContributor-Level 10
This is a Multiple Answer Type Questions as classified in NCERT Exemplar
Correct options are b and d.
Amylopectin and Glycogen are the correct choices since they are carbohydrate storage forms found in animal tissues, whereas amylose is made up of 80-85% starch. It's also a branched glucose polymer that branches via C1 - C6 glycosidic linkage.
Taking an Exam? Selecting a College?
Get authentic answers from experts, students and alumni that you won't find anywhere else
Sign Up on ShikshaOn Shiksha, get access to
- 66k Colleges
- 1.2k Exams
- 681k Reviews
- 1800k Answers





